Determinar la supervivencia por estadio del cáncer cervical en Mallorca, identificar los factores recogidos por el Registro de Cáncer de Mallorca asociados a la supervivencia y conocer la distribución de los casos por estadios.
MétodoEstudio retrospectivo de casos diagnosticados con cáncer cervical entre 2006 y 2012 a través del Registro de Cáncer de Mallorca. Se excluyeron los casos identificados solo por certificado de defunción. Variables: edad, fecha y método de diagnóstico, histología (ICD-O 3.ª ed.); TNM y etapa (UICC 7.ª ed.), fecha de seguimiento o muerte, y causa de muerte. El seguimiento finalizó el 31 de diciembre de 2015. Se aplicó la imputación múltiple para los casos cuyo estadio era desconocido. Se utilizaron los métodos actuarial y de Kaplan-Meier para el análisis de la supervivencia, y la regresión de Cox para identificar los factores que explican y predicen la supervivencia.
ResultadosSe identificaron 321 casos. En el 8,4% se desconocía el estadio. Después de la imputación múltiple, el 42,63% estaban en estadio I, el 24,01% en estadio II, el 19,94% en estadio III y el 13,42% en estadio IV. La supervivencia fue del 63% a los 5 años: 92% para el estadio I, 59% para el estadio II, 37% para el estadio III y 18% para el estadio IV. El estadio y la edad fueron los factores asociados a la supervivencia.
ConclusionesEl diagnóstico de cáncer de cuello uterino en estadio I es esencial. Menos de la mitad de las mujeres fueron diagnosticadas en estadio I. Es necesario mejorar los programas de cribado del cáncer de cuello uterino.
To ascertain the survival by stage of cervical cancer in Mallorca (Spain), to explore factors collected by the Mallorcan Cancer Registry associated with survival, and to determine the distribution of cervical cases by stage.
MethodRetrospective follow-up study of cases diagnosed with cervical cancer between 2006 and 2012 through the Mallorcan Cancer Registry. Cases identified only by death certificate were excluded. Variables: age; date and method of diagnosis; histology (ICD-O 3rd ed.); TNM and stage (UICC 7th ed.); date of follow-up or death and cause of death. Follow-up ended on 31 of December 2015. Multiple imputation was used for missing stage cases. Actuarial and Kaplan-Meier methods were used for survival analysis and Cox regression models to identify factors that explain and predict survival.
Results321 cases were identified. The stage was missing in 8.4% of cases. After multiple imputation, 42.63% were stage I, 24.01% stage II, 19.94% stage III and 13.42% stage IV. Survival was 63% at 5 years: 92% for women diagnosed in stage I, 59% in stage II, 37% in stage III and 18% in stage IV. Stage and age were associated to survival.
ConclusionsDiagnosis of cervical cancer in stage I is essential. Less than half of the women were diagnosed in stage I. Cervical cancer screening programmes must be improved.
El cáncer de cuello uterino es el cuarto cáncer más común y la cuarta causa de muerte por cáncer en las mujeres de todo el mundo. Representa el 7,9% del total de los tumores malignos en el sexo femenino, con 527.500 nuevos casos en 2012. Se estima que la tasa de incidencia estandarizada es de 14 por 100.000 mujeres en todo el mundo, de 9,6 en Europa (EU-28) en 20121, de 6,3 en España y de 7 en Mallorca en 20152.
En relación a la mortalidad, el cáncer de cuello uterino representó el 7,5% de las muertes de mujeres por cáncer en todo el mundo, con una tasa de 6,8 por 100.000 mujeres en 20121. El 87% de estas muertes suceden en países pobres, principalmente de África, Asia, América Latina y el Caribe. En EU-28, la tasa de mortalidad por cáncer de cuello uterino es de 2,8, en España es de 2,11 y en Mallorca es de 2,63.
Se observa, pues, que el cáncer de cuello uterino es una enfermedad para la que existen grandes desigualdades entre países ricos y pobres, e incluso entre regiones de un mismo país4.
La supervivencia del cáncer de cuello uterino también varía ampliamente entre países; en Europa oscila entre el 48% en Malta y el 78% en Finlandia5. La media europea fue del 62,4%, y la de España del 63,9%, para los casos diagnosticados entre 2000 y 20076. El estadio en el momento del diagnóstico es el principal factor determinante para la supervivencia, al igual que en los demás cánceres ginecológicos (ovario y cuerpo uterino)6. Sin embargo, sorprende la escasa información acerca del estadio en el momento del diagnóstico, ya que en los registros poblacionales de cáncer en España este dato no se recoge de forma sistemática, excepto en el Registro de Cáncer de Mallorca7. Contar con información sobre el estadio es de suma utilidad para vigilar las variaciones en las tendencias sobre la supervivencia, para estimar las demandas de los servicios de salud y para evaluar la efectividad de los programas de detección temprana8. Aunque se registre, es habitual que dicha variable presente valores faltantes.
El manejo de los datos faltantes es un desafío muy común en investigación epidemiológica, ya que puede provocar sesgos9. Por ello, se han desarrollado diversas aproximaciones estadísticas para el manejo de datos faltantes, como el análisis de los casos completos, el método del indicador de datos faltantes, la sustitución por la media de la variable o la imputación simple. No obstante, estas técnicas también pueden producir importantes sesgos10. La imputación múltiple soluciona los problemas de sesgo y de subestimación de la variabilidad poblacional que se producen al utilizar los métodos tradicionales para el manejo de datos faltantes, y da como resultado estimaciones similares a las calculadas con los datos completos9.
Mediante este estudio se pretende: 1) conocer la supervivencia de cáncer de cuello uterino por estadio; 2) determinar los factores recogidos por el Registro de Cáncer de Mallorca asociados a la supervivencia; y 3) identificar la distribución de casos de cáncer de cuello uterino por estadio.
MétodosSe trata de un estudio poblacional de seguimiento retrospectivo de los casos de cáncer de cuello uterino identificados a través del Registro de Cáncer de Mallorca, con una población en 2012 de 876.147 habitantes, y de estos, 440.211 mujeres11. La población estudiada fueron mujeres residentes en Mallorca diagnosticadas de cáncer de cuello uterino invasivo (código C53 según la 3.ª edición de la Clasificación Internacional de Enfermedades [CIE-O-3])12 entre 2006 y 2012. Se excluyeron los linfomas (histologías entre 9590 y 9729)12 y los casos cuya única fuente de información fue el certificado de defunción.
Se recogieron la edad en el momento del diagnóstico, la sublocalización, la histología de acuerdo con la CIE-O-312, la clasificación TNM (Tumor primario, Nodos, Metástasis) y el estadio de acuerdo con la 7.ª edición de la clasificación de la Unión Internacional Contra el Cáncer (UICC)13, además de la fecha del último seguimiento o la fecha de la muerte, y la causa de la muerte (cáncer cuello uterino u otras). Se combinaron datos anatomopatológicos y clínicos para obtener el estadio según las reglas de la UICC13.
En cuanto a la edad, se recodificó en las siguientes categorías: 15-44, 45-54, 55-64, 65-74 y de 75 años hasta la edad más alta. Las sublocalizaciones se agruparon como endocuello uterino, exocuello uterino, más de una sublocalización y localización indeterminada. La histología se recodificó como adenocarcinoma (8140, 8260, 8263, 8310, 8380, 8384, 8441, 8480 y 8482), carcinoma escamoso (8070, 8071 y 8082), otros carcinomas (8246, 8560 y 8020) y otros tumores (8910, 8950 y 8000).
Para el estadio se utilizó la clasificación en ocho categorías para el análisis descriptivo, y en cuatro categorías para el análisis de Cox13. El cálculo del estadio se hizo a partir de la clasificación TNM si estaban disponibles los tres parámetros, o se obtuvo directamente de los informes de anatomía patológica o de oncología. Se hizo una segunda revisión de las historias clínicas, además de la que se hace de forma sistemática en el Registro de Cáncer de Mallorca, para recuperar valores perdidos tanto de estas como del resto de las variables.
La variable tiempo se calculó desde la fecha del diagnóstico hasta la fecha de la muerte o del último seguimiento. La fecha de finalización del estudio fue el 31 de diciembre de 2015. El estado vital se refiere al estado, si sobrevive (0) o muere por cáncer de cuello uterino (1) o por otras causas (2) en el momento del último seguimiento. Las muertes ocurridas por otras causas fueron censuradas, así como los casos de traslados fuera de Mallorca y los casos perdidos.
Análisis estadísticoEl análisis de supervivencia se realizó aplicando los métodos actuarial y de Kaplan-Meier para estimar la probabilidad de supervivencia y el riesgo de fallecimiento, la prueba log-rank y el estadístico de Wilcoxon para evaluar las diferencias estadísticas entre las curvas de supervivencia observadas de las categorías de cada variable categórica, y el modelo de regresión de Cox para identificar los factores de pronóstico del riesgo de fallecer.
Se aplicó el método de imputación múltiple con el propósito de estimar el estadio en aquellos casos en que era desconocido, siguiendo el procedimiento establecido en tres fases fundamentales14:
- •
Generación de las bases de datos imputadas de forma múltiple (modelo de imputación) usando la información de todas las variables disponibles en el estudio: edad, sublocalización anatómica del tumor, histología, estatus vital y tiempo9. Las variables TNM fueron excluidas debido a que impedían la convergencia del modelo de imputación al ser identificadas como predictores perfectos del estadio desconocido. Se asumió que los valores desconocidos de estadio eran perdidos al azar (missing at random). En concreto, mediante un procedimiento de muestreo aleatorio se aplicó la imputación múltiple con ecuaciones encadenadas (Multiple Imputation Chained Equations), donde cada valor perdido fue reemplazado por un conjunto de m=5, m=10, m=15 y m=20 imputaciones.
- •
Análisis de las bases de datos imputadas de forma múltiple (modelo de análisis). Cada base de datos imputada y completada fue analizada de forma independiente mediante el modelo sustantivo, en este caso, el modelo de regresión de Cox. Este modelo se diseñó con las variables edad y estadio. Las variables sublocalización e histología fueron excluidas debido a que su distribución de frecuencias pone de manifiesto que son prácticamente constantes.
- •
Combinación de las estimaciones obtenidas de las bases de datos imputadas de forma múltiple. Cada m (5, 10, 15 y 20) estimaciones obtenidas con la regresión de Cox fueron combinadas en un solo modelo de regresión de Cox, uno para cada base de datos m creada, mediante la aplicación de las reglas de Rubin15.
Finalmente, se seleccionó el juego de m=5 imputaciones debido a que aumentar el número de imputaciones (m=10, 15 y 20) no implicó variaciones en las estimaciones de las tasas de riesgo, sus errores estándar ni su significación.
El procedimiento de imputación múltiple se realizó mediante STATA 13, y el análisis de supervivencia se hizo con SPSS 20.
ResultadosEntre 2006 y 2012 se identificaron en Mallorca 322 casos de cáncer de cuello uterino, de los cuales se excluyó uno por ser linfoma, resultando un total de 321 casos para el análisis, ya que no hubo ningún certificado de defunción. El valor T fue desconocido en el 33,6% de los casos, el N en el 87,9% y el M fue conocido en el 100%. Sin embargo, el estadio se desconocía tan solo en el 8,4% de los casos. Después de aplicar la imputación múltiple, la distribución de frecuencias por estadio fue: 42,6% en estadio I, 24% en estadio II, 19,9% en estadio III y 13,4% en estadio IV. Una descripción completa de los casos se presenta en la tabla 1.
Descripción sociodemográfica y clínica de los casos diagnosticados de cáncer de cuello uterino en Mallorca entre 2006 y 2012
| Variable | Categorías | Frecuencia | Porcentaje | Porcentaje válido | Después de imputación múltiple |
|---|---|---|---|---|---|
| Edad (años) | 15-4444-5455-6465-7475 o másPerdidos | 113695433520 | 35,221,516,810,316,20 | 35,221,516,810,316,2 | |
| Sublocalización anatómica del tumor | Endocuello uterinoExocuello uterinoMás de una sublocalizaciónIndeterminadaPerdidos | 28242870 | 8,70,61,289,40 | 8,70,61,289,4 | |
| Histología | Carcinoma escamosoAdenocarcinomaOtros carcinomasOtros tumoresPerdidos | 25850940 | 80,415,62,81,20 | 80,415,62,81,2 | |
| T | 1234Perdidos | 13459119108 | 41,718,43,42,833,6 | 62,927,75,24,2 | |
| N | 1Perdidos | 39282 | 12,187,9 | 100 | |
| M | 01Perdidos | 283380 | 88,211,80 | 88,211,8 | |
| Estadio codificado en ocho categorías | IAIBIIAIIBIIIAIIIBIVAIVBPerdidos | 44811754752192027 | 13,725,25,316,82,216,25,96,28,4 | 1527,65,818,42,417,76,56,8 | |
| Estadio codificado en cuatro categorías | IIIIIIIVPerdidos | 12571593927 | 38,922,118,412,18,4 | 42,524,120,113,3 | 42,6324,0119,9413,42 |
| Estado vital al final del seguimiento | VivaMuere por cáncer de cuello uterinoMuere por otra causaTotalPerdidos | 193113133192 | 60,135,24,099,40,6 | 60,535,44,1100 |
El estado vital de dos casos fue desconocido, y por tanto el análisis de supervivencia se realizó sobre un total de 319 casos. De ellos, 193 pacientes (60,5%) sobrevivieron a la finalización del estudio, 113 (35,4%) fallecieron por cáncer de cuello uterino y 13 (4,1%) murieron por otras causas. La media del tiempo de supervivencia fue de 2469 días, con un error estándar de 87,18, y el intervalo de confianza del 95% del parámetro poblacional se sitúa entre 2298 y 2640 días. Tanto antes como después de la imputación múltiple, un 86% de las pacientes sobrevivieron 1 año después del diagnóstico, un 72% 3 años después y un 63% 5 años después. Pueden observarse cambios en la supervivencia después de aplicar la imputación múltiple, cuando esta se analiza por estadio y año de seguimiento, en especial en el estadio IV, observando mejores tasas de supervivencia después de la imputación múltiple (tabla 2).
Función de supervivencia por estadio y años de seguimiento mediante el método actuarial antes y después de la imputación múltiple (m=5)
| Datos originalesn=293 | Datos imputadosn=319 | |||||||||
|---|---|---|---|---|---|---|---|---|---|---|
| Año | Estadio I | Estadio II | Estadio III | Estadio IV | Total | Estadio I | Estadio II | Estadio III | Estadio IV | Total |
| 1 | 0,89 | 0,90 | 0,81 | 0,59 | 0,86 | 0,97 | 0,87 | 0,79 | 0,61 | 0,86 |
| 2 | 0,95 | 0,76 | 0,65 | 0,33 | 0,76 | 0,94 | 0,75 | 0,64 | 0,37 | 0,76 |
| 3 | 0,95 | 0,71 | 0,59 | 0,16 | 0,72 | 0,94 | 0,70 | 0,58 | 0,22 | 0,72 |
| 4 | 0,94 | 0,62 | 0,53 | 0,14 | 0,67 | 0,92 | 0,61 | 0,52 | 0,18 | 0,67 |
| 5 | 0,93 | 0,59 | 0,37 | 0,14 | 0,63 | 0,92 | 0,59 | 0,37 | 0,18 | 0,63 |
| 6 | 0,91 | 0,56 | 0,33 | 0,09 | 0,61 | 0,90 | 0,56 | 0,34 | 0,15 | 0,61 |
| 7 | 0,88 | 0,56 | 0,33 | 0,09 | 0,59 | 0,87 | 0,56 | 0,34 | 0,15 | 0,59 |
| 8 | 0,88 | 0,56 | 0,25 | 0,09 | 0,58 | 0,87 | 0,56 | 0,27 | 0,15 | 0,58 |
| 9 | 0,88 | 0,56 | 0,25 | 0,09 | 0,58 | 0,87 | 0,56 | 0,27 | 0,15 | 0,58 |
| 10 | 0,88 | 0,56 | 0,25 | -- | 0,58 | 0,87 | 0,56 | 0,27 | 0,15 | 0,58 |
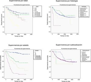
Se observaron diferencias de supervivencia según la edad (p <0.001), la histología (p <0.001) y el estadio (p <0.001) (fig. 1). Se diseñó un modelo de regresión de Cox con las variables edad y estadio antes (modelo 1: datos originales, eliminando del análisis los casos con estadio desconocido) y después (modelo 2: datos imputados, con m=5) de la imputación múltiple (tabla 3). En general, se observan variaciones en los valores de las tasas de riesgo entre ambos modelos, así como una disminución de los errores estándar asociados a las tasas de riesgo del estadio después de la imputación múltiple. Por su parte, tanto la edad como el estadio se identifican como factores de pronóstico significativos en ambos modelos. Así, tomando los valores de las tasas de riesgo del modelo 2 con los datos imputados puede decirse, en relación con la edad con el grupo de referencia de 15-44 años, que el paso al grupo de 45-54 años supone un aumento de la tasa de riesgo de fallecer de un 44%, el paso al grupo de 55-64 años supone un aumento de la tasa de un 85%, el paso al grupo de 65-74 años supone un aumento de la tasa de un 78% y, finalmente, el paso al grupo de 75 años o más supone un aumento de la tasa de un 278%. En relación con el estadio con el grupo de referencia de estadio I, el paso al estadio II supone un aumento de la tasa de riesgo de fallecer de un 346%, el paso al estadio III supone un aumento de la tasa de un 615% y, finalmente, el paso al estadio IV supone un aumento de la tasa de un 1488%.
Modelo de regresión de Cox antes y después de la imputación múltiple (m=5)
| Modelo 1Datos originalesn=293 | Modelo 2Datos imputadosn=319 | |||||||
|---|---|---|---|---|---|---|---|---|
| Tasa de riesgo | EE | p | IC95% | Tasa de riesgo | EE | p | IC95% | |
| Edad (ref. 15-44 años) | ||||||||
| 45-54 años | 1,33 | 0,42 | 0,370 | 0,71-2,46 | 1,44 | 0,45 | 0,245 | 0,78-2,65 |
| 55-64 años | 1,59 | 0,47 | 0,117 | 0,89-2,83 | 1,85 | 0,55 | 0,039 | 1,03-3,30 |
| 65-74 años | 1,46 | 0,58 | 0,333 | 0,68-3,17 | 1,78 | 0,68 | 0,128 | 0,85-3,76 |
| 75 o más años | 2,84 | 0,79 | 0,000 | 1,65-4,90 | 3,78 | 1,03 | 0,000 | 2,21-6,47 |
| Estadio (ref. estadio I) | ||||||||
| II | 4,89 | 1,78 | 0,000 | 2,40- 9,99 | 4,46 | 1,52 | 0,000 | 2,28- 8,70 |
| III | 8,73 | 3,07 | 0,000 | 4,38-17,39 | 7,15 | 2,43 | 0,000 | 3,67-13,92 |
| IV | 20,05 | 7,23 | 0,000 | 9,89-40,65 | 15,88 | 5,74 | 0,000 | 7,79-32,38 |
EE: error estándar; IC95%: intervalo de confianza del 95%.
La supervivencia a los 5 años del cáncer de cuello uterino en nuestro estudio (63%) se corresponde con los resultados obtenidos para España por EUROCARE-5 (63,9%)6. El estadio y la edad fueron los factores asociados a la supervivencia. Las tasas de supervivencia a los 5 años por estadio obtenidas (92%, 59%, 37% y 18%) fueron muy similares a las del American Joint Committee on Cancer para 2016 (93%, 63%, 35% y 16%)16. Llama la atención que entre el estadio I y el estadio II la supervivencia a los 5 años baja 30 puntos, lo que indica la importancia del diagnóstico precoz. El 42,6% de los casos se diagnosticaron en estadio I, mientras que en Osaka (Japón)17 el porcentaje de casos en estadio localizado (IA-IB1) fue del 53% y en los Estados Unidos18 fue del 85,9%, lo que indica que existe bastante margen de mejora.
Con alguna excepción19, los programas de cribado de cáncer de cuello uterino en España son oportunistas. Tanto la Unión Europea como el Grupo de Expertos sobre la Concreción de la Cartera Común de Servicios para el Cribado de Cáncer de nuestro país han recomendado el cambio a programas poblacionales, así como la inclusión de la determinación del virus del papiloma humano, teniendo en cuenta también las cohortes de mujeres ya vacunadas20,21. Se ha demostrado que los programas poblacionales son más eficientes y pueden mejorar la participación de las mujeres. En estos momentos, las comunidades autónomas están estudiando cómo hacer el tránsito a programas poblacionales.
Respecto a la edad, se confirma que es un factor de riesgo independiente en el cáncer de cuello uterino, lo que coincide con otro trabajo22. Nuestro estudio mostró una disminución notoria de la supervivencia en las mujeres mayores de 75 años. Este grupo de edad se considera de alto riesgo por varios motivos. En primer lugar, se ha visto que estas mujeres han participado menos en los programas de cribado23. En este sentido, los programas poblacionales o mixtos, con captación activa de las mujeres, mejoran precisamente la participación de las mujeres de mayor edad21. En segundo lugar, reciben tratamientos menos agresivos, o no reciben tratamiento, aunque se ha visto que pueden beneficiarse de estos, en especial de la braquiterapia22. Por todo ello, debería prestarse más atención a las mujeres mayores, tanto en los programas de cribado como cuando se les diagnostica un cáncer de cuello uterino.
En cuanto a la histología, no se encontraron diferencias significativas entre los dos grupos mayoritarios (adenocarcinoma y carcinoma escamoso), lo que coincide con algunos estudios24, pero no con otros22. En cambio, no puede descartarse que existan diferencias respecto a otras histologías más agresivas y muy minoritarias, como el sarcoma y el tumor mixto.
En este estudio se ha aplicado la imputación múltiple cuando el estadio era desconocido. De acuerdo con Eisemann et al.25, la imputación múltiple es un método apropiado para su aplicación a datos faltantes de estadios de cáncer. De hecho, se ha utilizado en cáncer colorrectal26, de pulmón27, de ovario28, melanoma25, de próstata8 y de mama29. Esta técnica presenta dos principales ventajas frente a otros métodos. En primer lugar, a diferencia del análisis de los casos completos, se utiliza toda la información de la base de datos en el análisis y, por tanto, los resultados tienen menos probabilidad de estar sesgados. En segundo lugar, los valores faltantes solo pueden ser imputados con algún grado de incertidumbre. A diferencia de los métodos de imputación simple, esta incertidumbre se refleja mediante la variabilidad de las m imputaciones. Como consecuencia, la imputación múltiple proporciona unas estimaciones más eficientes y, en consecuencia, más precisas.
En nuestro estudio se han observado cambios en los valores estimados de la supervivencia por años de seguimiento y por estadio después de aplicar la imputación múltiple, de forma especial en el estadio IV. Al mismo tiempo, en los modelos de regresión de Cox antes y después de la imputación múltiple se han producido variaciones en los valores de la tasa de riesgo, así como una disminución de los errores estándar. Estos cambios pueden atribuirse a que la aplicación de la imputación múltiple proporciona unas estimaciones insesgadas de la supervivencia, así como unas estimaciones más eficientes, y por ello más precisas, frente a la estrategia de eliminar del análisis los casos con valores faltantes8,25.
Nuestro estudio presenta una limitación, que radica en que la fuente de información es limitada. Poder disponer de datos sobre los antecedentes de cribado de las mujeres a las que se ha diagnosticado cáncer de cuello uterino nos permitiría determinar cuáles de ellas habían pasado por programas de cribado de manera regular, y por tanto conocer la efectividad de la citología en la disminución de la incidencia y en la mejora de la supervivencia del cáncer de cuello uterino. Así mismo, existen otras variables implicadas en la supervivencia y de las que tampoco tenemos información, como consumo de tabaco, actividad física, consumo de alcohol, calidad de vida, anemia y estado socioeconómico, entre otras4,30. No obstante, aunque limitada, se trata de una fuente de información poblacional, por lo que permite caracterizar el panorama de nuestra comunidad.
En conclusión, el estadio y la edad fueron los factores asociados a la supervivencia del cáncer de cuello uterino. Las Administraciones públicas deberán hacer esfuerzos para mejorar la detección de casos en estadio I, así como en la captación de las mujeres de más riesgo, entre ellas las de edad avanzada. Parece necesario, en España, el tránsito de los programas de cribado de cáncer de cuello uterino de oportunistas a poblacionales.
Editora responsable del artículoMaría Victoria Zunzunegui.
Declaración de transparenciaLa autora principal (garante responsable del manuscrito) afirma que este manuscrito es un reporte honesto, preciso y transparente del estudio que se remite a Gaceta Sanitaria, que no se han omitido aspectos importantes del estudio, y que las discrepancias del estudio según lo previsto (y, si son relevantes, registradas) se han explicado.
Alrededor del 60% de las mujeres con cáncer de cuello uterino sobreviven a los 5 años del diagnóstico.
¿Qué añade el estudio realizado a la literatura?La supervivencia del cáncer de cuello uterino a los 5 años es del 92% para las mujeres en estadio I, del 59% para las mujeres en estadio II, del 37% para las que están en estadio III y solo del 18% para las que están en estadio IV en el momento del diagnóstico. Estos resultados aconsejan que las políticas de salud pública centren sus esfuerzos en su detección en estadios precoces.
M. Ramos y J. Montaño diseñaron el estudio. M. Ramos y P. Franch revisaron los casos. J. Montaño realizó el análisis. M. Ramos, J. Montaño y J. Amengual discutieron los resultados y escribieron el artículo. Todas las personas firmantes aprobaron la versión final.
AgradecimientosA Silvia Sastre (documentalista) por su ayuda en la búsqueda bibliográfica, y a María del Mar Escandell (médico residente de Atención Primaria) y a Bárbara Barceló (matrona del Hospital Manacor) por la lectura crítica del artículo.
FinanciaciónEste estudio fue financiado por una subvención pública del Ministerio de Salud, Instituto Carlos III y la Unión Europea (FEDER) (PI14 / 01199).
Conflictos de interesesNinguno.














