
Analizar el uso de recursos y los costes sanitarios de una cohorte de largas supervivientes de cáncer de mama en cuatro comunidades autónomas de España (Aragón, Cataluña, Madrid y Navarra) mediante la evaluación de sus trayectorias asistenciales en el Sistema Nacional de Salud.
MétodoSe analizaron las trayectorias asistenciales de las pacientes a partir de sus contactos con el Sistema Nacional de Salud entre 2012 y 2016. Las trayectorias asistenciales se obtuvieron del proyecto CONCEPT y se utilizaron para examinar el uso de recursos y los costes asociados, y analizar posibles diferencias entre cohortes y regiones. Se incluyeron 18.527 mujeres, de las cuales 6115 eran largas supervivientes de cáncer de mama y 12.412 conformaron el grupo control, compuesto por mujeres sin antecedentes de la enfermedad emparejadas por edad y área de salud con las supervivientes. Se aplicaron modelos de regresión para analizar los factores asociados al coste de las trayectorias.
ResultadosLas mujeres supervivientes de cáncer de mama presentaron mayor uso de recursos sanitarios, más comorbilidad y mayor uso de fármacos en comparación con el grupo control, con diferencias estadísticamente significativas. Los costes también fueron superiores en las supervivientes, en especial en consultas externas. El número de fármacos, la comorbilidad y el índice de Charlson se identificaron como los principales factores asociados a un mayor coste en la atención sanitaria de ambos grupos.
ConclusionesEste estudio caracteriza los costes de las trayectorias asistenciales en largas supervivientes de cáncer de mama y sugiere que la metodología utilizada podría ayudar a los profesionales sanitarios a asignar recursos de forma eficiente.
To analyze the use of resources and healthcare costs of a cohort of long-term survivors of breast cancer in four autonomous communities in Spain (Aragon, Catalonia, Madrid and Navarre) by assessing their pathways in the National Health System.
MethodPatient pathways were analyzed based on their interactions with the National Health System between 2012 and 2016. Healthcare pathways were obtained from the CONCEPT project and were use to examine resource use, associated costs, and to analyze potential differences between cohorts and regions. A total of 18,527 women were included, of whom 6115 were long-term survivors of breast cancer and 12,412 formed the control group, consisting of women with no history of the disease, matched by age and healthcare area with the survivors. Regression models were applied to analyze factors associated with the cost of trajectories.
ResultsLong-term survivors of breast cancer had a higher use of healthcare resources, and a higher number of comorbidity and drug use compared to the control group, with statistically significant differences. Costs were also higher for survivors, especially in outpatient clinics. Factors such as the number of drugs, comorbidity and the Charlson index were identified as the main factors associated with higher healthcare costs in both groups.
ConclusionsThis study identified the costs of healthcare pathways in long-term breast cancer survivors and suggests that the methodology used could help healthcare professionals allocate resources more efficiently.
La disponibilidad actual de datos de la vida real en el ámbito de la investigación sanitaria facilita la evaluación de las intervenciones del sistema sanitario, reduciendo costes y mejorando la eficiencia. Esto ha promovido una mayor tasa de publicaciones científicas sobre el coste de la enfermedad y evaluaciones económicas basadas en datos de la vida real1.
El uso combinado de diferentes bases de datos sanitarias ha ampliado las posibilidades de la investigación evaluativa, permitiendo identificar y caracterizar las trayectorias asistenciales de pacientes con enfermedades crónicas a lo largo de sus múltiples interacciones con el sistema de salud. Este enfoque proporciona una visión más completa del proceso asistencial vivido por los pacientes en la vida real2.
En tales circunstancias surge CONCEPT-COSTS, un subproyecto horizontal del proyecto de investigación coordinado CONCEPT que aborda el análisis comparado de la efectividad y la eficiencia de los cuidados sanitarios proporcionados a los pacientes crónicos, mediante el uso de datos de la vida real. Todos los subproyectos CONCEPT comparten la perspectiva innovadora de centrar sus análisis en las trayectorias asistenciales identificadas en el cuidado de los pacientes seleccionados, como un determinante clave de la adecuación asistencial, la adherencia al tratamiento, los resultados de salud y sus consecuencias económicas. CONCEPT-COSTS se dedica específicamente a analizar el uso de recursos y los costes asociados a las trayectorias asistenciales proporcionando herramientas para la realización de análisis económicos.
El uso de tecnologías avanzadas, como la minería de procesos (process mining), permite a CONCEPT hacer un análisis más profundo de las trayectorias asistenciales, lo que facilita la inclusión de un mayor volumen de información sobre el proceso asistencial experimentado por los pacientes3. Esta metodología ofrece una descripción más robusta y precisa de las trayectorias asistenciales, lo que a su vez mejora la fiabilidad en la estimación de los costes asociados a estos procesos.
El subproyecto CONCEPT-SURBCAN incluye la cohorte multicéntrica SURBCAN (SURvivors Breast CANcer) creada en 2016 con el objetivo de conocer la comorbilidad y el patrón de utilización de servicios de salud (primaria y especializada) en mujeres que han sobrevivido a un cáncer de mama por 5 años o más4. Esta cohorte se incluyó en el proyecto CONCEPT para analizar diferentes aspectos en las largas supervivientes de cáncer de mama, como los patrones de multimorbilidad, aplicando metodologías de estudio de patrones jerárquicos según las características de las mujeres, del tumor y del tratamiento recibido, la adherencia a las recomendaciones de seguimiento, el uso de servicios sanitarios y el impacto en la supervivencia y la calidad de vida5–8. En este contexto se observó un mayor uso de servicios entre las largas supervivientes5, pero no se han descrito los costes asociados a la atención sanitaria que reciben estas mujeres, lo que motiva un análisis detallado de este aspecto.
Por todo ello, el presente estudio tiene como objetivo analizar el uso de recursos y costes asociados a las trayectorias asistenciales de largas supervivientes de cáncer de mama, y proporcionar un enfoque innovador para evaluar los costes en la práctica clínica habitual.
MétodoDiseño del estudio y poblaciónLa población objeto del estudio corresponde a la cohorte de largas supervivientes de cáncer de mama del subproyecto CONCEPT-SURBCAN, que se basa en un estudio observacional analítico9 de dos cohortes retrospectivas: una de mujeres supervivientes de cáncer de mama de larga duración y otra de mujeres que no han padecido la enfermedad, como controles, seguidas entre 2012 y 2016. La primera cohorte está constituida por 6512 mujeres mayores de 18 años que fueron diagnosticadas de cáncer de mama entre el 1 de enero de 2000 y el 31 de diciembre de 2006, y que lograron sobrevivir al menos 5 años tras el diagnóstico inicial. Las supervivientes se identificaron en cada una de las cuatro comunidades autónomas que participaron en el estudio: Aragón, Cataluña, Madrid y Navarra. Por otro lado, el grupo control de mujeres sin antecedentes de cáncer de mama incluyó aquellas que no presentaban registros de la enfermedad en sus historias clínicas electrónicas al inicio del seguimiento, seleccionadas de las mismas áreas y emparejadas por año de nacimiento y área de salud con las supervivientes. A cada superviviente le corresponden dos mujeres del grupo control, formando así una comparación por cada caso, con una cohorte final de 19.328 mujeres. De estas, se excluyeron 801 mujeres por falta de datos de uso de servicios sanitarios, con lo que quedó una muestra final de 18.527 mujeres.
Variables y fuentes de informaciónLas principales variables y fuentes de información utilizadas incluyen una tabla de trayectorias asistenciales obtenida en el marco del proyecto CONCEPT, que contiene las variables que identifican y caracterizan cada trayectoria asistencial. En concreto, un identificador de trayectoria, el número total de actividades (contactos con el sistema), el número de actividades únicas distintas en la trayectoria y la secuencia de actividades que conforman cada trayectoria. Esta tabla es producida por minería de procesos a partir del análisis del histórico de eventos (eventlog) para el descubrimiento del proceso (process discovery). La información de esta tabla es la que permite caracterizar el proceso asistencial, consistente en el conjunto de trayectorias que siguen una cohorte de pacientes en la asistencia de una condición específica. Las trayectorias asistenciales representan la secuencia de actividades que cada paciente realiza durante el periodo de análisis. La estimación de estas trayectorias se hizo a través de la aplicación de minería de procesos a la base de datos de variables relativas a la utilización de servicios de salud cuya fuente es atención primaria y la base de datos hospitalarios/registro de cáncer poblacional. Se emplearon los paquetes R de la suite de ‘bupaR’ (bupaverse)10. Se puede consultar un ejemplo de trayectorias asistenciales en la Figura S1 del Material Suplementario.
Además, se incluyeron en el estudio variables individuales, obtenidas también de las fuentes de atención primaria, como variables sociodemográficas, las relacionadas con la cobertura sanitaria y el índice Medea. Igualmente se consideraron las variables relacionadas con las prescripciones de fármacos al inicio del seguimiento, extraídas de la base de datos que contiene las prescripciones de medicamentos, y las variables sobre comorbilidad, obtenidas de la base de datos de diagnósticos de comorbilidad por paciente. A partir de esta información se calcularon el número de enfermedades por paciente y el índice de Charlson. Este último se halló usando los diagnósticos de la Clasificación Internacional de Enfermedades (CIE-9 y CIE-10)11 y los códigos diagnósticos ICPC-2 de atención primaria12, recodificando todos los códigos a través del Clinical Classifications Software, que permite clasificar los códigos CIE-9 y CIE-10 en 290 categorías clínicamente relevantes, desarrollado por la Agency for Healthcare Research and Quality de los Estados Unidos de América13. La información detallada de las fuentes de información primarias y secundarias se encuentra disponible en el protocolo de la cohorte SURBCAN9.
Análisis estadísticoSe realizaron análisis descriptivos para resumir la información. Para las variables categóricas se utilizaron tablas de frecuencias y la prueba χ2 para explorar las posibles diferencias entre las proporciones de estas variables entre grupos. Para las variables continuas se utilizaron la media, la desviación estándar y las pruebas t de Student o de Mann-Whitney-Wilcoxon para analizar las diferencias.
Para calcular el coste de cada actividad se estimó, en primer lugar, el uso de recursos mediante la secuencia de actividad para cada paciente en las trayectorias asistenciales detectadas. A continuación se calculó su correspondiente coste, que se halló como resultado de multiplicar el uso del recurso por el coste unitario de cada una de las actividades. Para representar los descriptores del uso de recursos se usaron intervalos de confianza de medias estimados a partir de técnicas de bootstrapping. Los costes unitarios para cada actividad se estimaron a partir de la base de datos de costes unitarios CONCEPT-COSTS Database14, que es un compendio de costes unitarios de los servicios sanitarios más comunes en el Sistema Nacional de Salud. La información para la estimación del coste medio de cada servicio se extrajo de los boletines oficiales de cada comunidad autónoma que publica las tarifas públicas, y se estimó un coste unitario para todo el territorio nacional. La suma de todos estos costes permitió hallar el coste total de las trayectorias asistenciales de las pacientes.
Se representaron en forma de mapa los costes totales de las trayectorias asistenciales para cada grupo de mujeres con el objetivo de visualizar las posibles diferencias entre comunidades autónomas. Para comparar las variaciones de los costes de las trayectorias asistenciales entre regiones se realizaron comparaciones múltiples mediante el test de Kruskal-Wallis, dada la no normalidad de las variables que representan el coste.
Por último, se aplicaron modelos de regresión (utilizando el método both) para analizar los posibles factores que pudieran influir en el coste final de la trayectoria asistencial. Las variables que se utilizaron como covariables son las relacionadas con las características sociodemográficas de las mujeres y otras como el número de prescripciones farmacológicas, el número de enfermedades en comorbilidad y el índice de Charlson.
Todos los costes están expresados en euros de 2024 y los análisis se realizaron en el lenguaje de programación R versión 4.3.315.
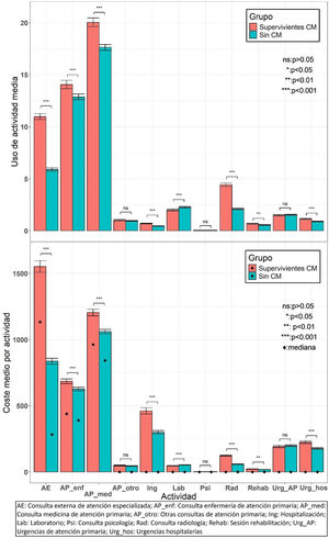
ResultadosLa población del estudio fue de 18.527 mujeres, de las cuales 6115 eran supervivientes de cáncer de mama y 12.412 constituyeron el grupo control. En la tabla 1 se muestra la estadística descriptiva para las variables sociodemográficas y otras variables de interés, como el número de fármacos, la comorbilidad y el índice de Charlson. La media de edad fue de 66 años en ambos grupos (p=0,673). El número de fármacos y el número de enfermedades fueron mayores en las mujeres con larga supervivencia de cáncer de mama, siendo la diferencia estadísticamente significativa (p<0,001). También destaca la gran diferencia en el índice Charlson para puntuaciones mayores de 2 (p<0,001). La figura 1 muestra el uso medio de recursos sanitarios y el coste medio por actividad. Tal como se observa, el uso de recursos es mayor en las mujeres largas supervivientes de cáncer de mama, salvo en urgencias de atención primaria (p=0,469) y en pruebas de laboratorio (p<0,001), en las que además de tener mayor uso de recursos el grupo control se observa una diferencia estadísticamente significativa. Las actividades más frecuentes son, en ambos grupos de mujeres, las visitas a los profesionales de atención primaria (medicina y enfermería). Destacan notablemente los costes relativos a las consultas externas, que aunque no son las más usadas, tienen un coste unitario elevado (141,58 €).
Descriptores de las variables sociodemográficas
| Todas(n=18.527) | Supervivientes de cáncer de mama(n=6115) | Sin cáncer de mama(n=12.412) | ||
|---|---|---|---|---|
| n (%) | n (%) | n (%) | p | |
| Comunidad autónoma | <0,001 | |||
| Aragón | 7205 (38,39) | 2418 (39,54) | 4787 (38,57) | 0,201 |
| Cataluña | 2743 (14,81) | 838 (13,70) | 1905 (15,35) | 0,003 |
| Madrid | 3311 (17,87) | 1103 (18,04) | 2208 (17,79) | 0,678 |
| Navarra | 5268 (28,43) | 1756 (28,72) | 3512 (28,30) | 0,550 |
| Estado vital | <0,001 | |||
| Vivas | 16784 (90,67) | 5335 (87,47) | 11449 (92,24) | <0,001 |
| Fallecidas | 1727 (9,33) | 764 (12,53) | 963 (7,76) | <0,001 |
| Desconocido | 16 | 16 | 0 | |
| Causa de la muerte | <0,001 | |||
| Cáncer de mama | 629 (3,52) | 320 (5,52) | 309 (2,56) | <0,001 |
| Otras causas | 431 (2,42) | 139 (2,40) | 292 (2,42) | 0,921 |
| No aplica | 16784 (94,06) | 5335 (92,08) | 11449 (95,01) | <0,001 |
| Desconocida | 683 | 321 | 362 | |
| Índice Medea | <0,001 | |||
| Primer quintil | 7091 (58,75) | 2458 (61,85) | 4633 (57,23) | <0,001 |
| Segundo quintil | 743 (6,16) | 249 (6,27) | 494 (6,10) | 0,725 |
| Tercer quintil | 1086 (9,00) | 330 (8,30) | 756 (9,34) | 0,062 |
| Cuarto quintil | 1698 (14,07) | 542 (13,64) | 1156 (14,28) | 0,342 |
| Quinto quintil | 1452 (12,03) | 395 (9,94) | 1057 (13,06) | <0,001 |
| Desconocido | 6457 | 2141 | 4316 | |
| Cobertura sanitaria | <0,001 | |||
| Activa | 3473 (31,03) | 1020 (27,85) | 2453 (32,58) | <0,001 |
| Pensionista | 7719 (68,67) | 2643 (72,15) | 5076 (67,42) | <0,001 |
| Desconocida | 7335 | 2452 | 4883 | |
| Tramo copago | <0,001 | |||
| Exentas | 524 (3,36) | 148 (2,85) | 376 (3,61) | 0,013 |
| Pensionistas | 10661 (68,31) | 3707 (71,40) | 6954 (66,78) | <0,001 |
| <18.000€ | 2648 (16,97) | 719 (13,85) | 1929 (18,52) | <0,001 |
| 18.000-100.000€ | 1500 (9,61) | 508 (9,78) | 992 (9,53) | 0,605 |
| >100.000€ | 53 (0,34) | 19 (0,37) | 34 (0,33) | 0,690 |
| Excluidas | 220 (1,41) | 91 (1,75) | 129 (1,24) | 0,010 |
| Desconocido | 2921 | 923 | 1998 | |
| Nacionalidad | <0,001 | |||
| Europa | 16511 (97,83) | 5580 (99,06) | 10931 (97,21) | <0,001 |
| América | 280 (1,66) | 41 (0,73) | 239 (2,13) | <0,001 |
| África | 71 (0,42) | 8 (0,14) | 63 (0,56) | <0,001 |
| Asia | 16 (0,09) | 4 (0,07) | 12 (0,11) | 0,477 |
| Desconocida | 1649 | 482 | 1167 | |
| Tabaquismo | 0,111 | |||
| No fumadora | 10261 (88,43) | 3308 (89,12) | 6953 (88,10) | 0,111 |
| Fumadora | 1343 (11,57) | 404 (10,88) | 939 (11,90) | 0,111 |
| Desconocido | 6923 | 2403 | 4520 | |
| Alcoholismo | 0,213 | |||
| No bebedora | 9626 (87,91) | 3116 (88,47) | 6510 (87,64) | 0,213 |
| Bebedora | 1324 (12,09) | 406 (11,53) | 918 (12,36) | 0,213 |
| Desconocido | 7577 | 2593 | 4984 | |
| Índice Charlson | 3,53 (2,42) | 4,79 (2,66) | 2,83 (1,93) | <0,001 |
| 0-1 | 2627 (19,12) | 257 (5,20) | 2370 (26,96) | <0,001 |
| ≥2 | 11111 (80,88) | 4689 (94,80) | 6422 (73,04) | <0,001 |
| Desconocido | 4789 | 1169 | 3620 | |
| Peso, media (DE) | 69,60 (13,65) | 69,43 (13,04) | 69,68 (13,93) | 0,701 |
| Desconocido | 7470 | 2583 | 4887 | |
| Altura (cm), media (DE) | 155,76 (7,24) | 156,27 (6,98) | 155,52 (7,35) | <0,001 |
| Desconocida | 7424 | 2562 | 4862 | |
| Edad (años), media (DE) | 65,62 (12,58) | 65,68 (12,56) | 65,60 (12,59) | 0,673 |
| 25-49 | 1512 (9,14) | 492 (9,05) | 1020 (9,18) | 0,780 |
| 50-69 | 8652 (52,28) | 2843 (52,28) | 5809 (52,29) | 0,994 |
| ≥70 | 6384 (38,58) | 2103 (38,67) | 4281 (38,53) | 0,863 |
| Desconocida | 1979 | 677 | 1302 | |
| N.° fármacos, media (DE) | 6,10 (5,06) | 6,23 (4,98) | 6,04 (5,10) | <0,001 |
| Desconocido | 4588 | 1213 | 3375 | |
| N.° comorbilidad, media (DE) | 10,59 (9,48) | 12,52 (11,01) | 9,51 (8,32) | <0,001 |
| Desconocido | 2914 | 507 | 2407 | |
| Días de trayectoria, media (DE) | 1439,32 (424,20) | 1456,34 (415,76) | 1430,93 (428,07) | <0,001 |
DE: desviación estándar.
La tabla 2 muestra el coste unitario de cada actividad, así como el número de pacientes que han usado dicho servicio, el coste total y el coste por paciente para mujeres largas supervivientes de cáncer de mama. Casi la totalidad de las pacientes supervivientes (99,02%) han pasado al menos una vez por medicina de atención primaria, seguida de enfermería (92,53%) y consultas externas (78.45%). En cuanto al coste por paciente, destaca el relativo a los ingresos hospitalarios (1365,48 €), pues aunque solo representa el 10% del coste total tiene el mayor coste unitario (661,13 €). En la tabla S1 del Material Suplementario pueden consultarse los resultados para el grupo control.
Costes unitarios, número de pacientes, coste total y coste por paciente para cada actividad en mujeres largas supervivientes de cáncer de mama
| Actividad | Coste unitario en euros, media (DE) | N.° pacientes (%) | Coste total | Coste por paciente en euros | |
|---|---|---|---|---|---|
| Euros (DE) | % | ||||
| Consulta medicina AP | 60,14 (15,68) | 6055 (99,02) | 7365405,94 (31 698,79) | 26,39 | 1216,42 |
| Consulta enfermería AP | 48,75 (24,95) | 5658 (92,53) | 4189721,25 (40798,19) | 15,01 | 740,50 |
| Consulta externa AE | 141,58 (49,76) | 4797 (78,45) | 9492655,84 (63412,83) | 34,01 | 1978,87 |
| Urgencias AP | 129,59 (72,69) | 2755 (45,05) | 1179493,96 (18845,08) | 4,23 | 428,13 |
| Urgencias hospitalarias | 198,58 (51,07) | 2560 (41,86) | 1378373,77 (9788,80) | 4,94 | 538,43 |
| Día de hospitalización | 661,13 (298,35) | 2065 (33,77) | 2819709,74 (36 864,04) | 10,10 | 1365,48 |
| Otras consultas AP | 47,64 (13,39) | 1861 (30,43) | 296136,35 (3150,10) | 1,06 | 159,13 |
| Consulta radiología | 27,98a | 2769 (45,28) | 757586,48a | 2,71 | 273,60 |
| Consulta psicología | 49,97 (2,78) | 43 (0,70) | 11691,81 (153,03) | 0,04 | 271,90 |
| Sesión rehabilitación | 33,24 (25,88) | 950 (15,54) | 137395,34 (4627,75) | 0,49 | 144,63 |
| Laboratorio | 23,39a | 2381 (38,94) | 284994,47a | 1,02 | 119,70 |
| Total | 6115 (100) | 27913165 | 100 | 4564,70 | |
AE: atención especializada; AP: atención primaria; DE: desviación estándar.
Nota: se estiman el coste promedio y la DE a partir de los costes unitarios de las comunidades autónomas que publican el coste del recurso sanitario.
En la tabla 3 se muestra el coste total de las trayectorias asistenciales para el total de las mujeres y para cada grupo de estudio. El coste total de las trayectorias asistenciales de las mujeres con larga supervivencia de cáncer de mama es ligeramente superior en media, siendo la diferencia estadísticamente significativa (p<0,001). Al analizar las diferencias entre regiones, se observa que existen diferencias estadísticamente significativas en el coste total de las trayectorias asistenciales según la región analizada, siendo Madrid y Navarra las comunidades autónomas donde el coste total es mayor (Tabla 4). En la figura S2 del Material Suplementario se muestra el coste medio de las trayectorias asistenciales por comunidades autónomas.
Coste (euros) de las trayectorias asistenciales
| Coste trayectoria | Total(n=18.527) | Supervivientes de cáncer de mama(n=6115) | Sin cáncer de mama(n=12.412) |
|---|---|---|---|
| Mínimo | 0 | 0 | 0 |
| Q1 | 1197,79 | 1783,18 | 987,82 |
| Media | 3769,67 | 4564,70 | 3377,98 |
| Mediana | 2689,67 | 3431,29 | 2316,68 |
| Q3 | 5134,50 | 6130,36 | 4596,52 |
| Máximo | 51 665,88 | 41 245,83 | 51 665,88 |
| DE | 3753,82 | 4097,82 | 3506,69 |
DE: desviación estándar; Q1: primer cuartil (percentil 25); Q3: tercer cuartil (percentil 75).
Diferencias de coste medio de las trayectorias asistenciales por comunidades autónomas
| Aragón | Cataluña | Madrid | ||||
|---|---|---|---|---|---|---|
| Supervivientes cáncer de mama | Sin cáncer de mama | Supervivientes cáncer de mama | Sin cáncer de mama | Supervivientes cáncer de mama | Sin cáncer de mama | |
| Cataluña | −2417,79p<0,001 | −1738,49p<0,001 | - | - | - | - |
| Madrid | 2589,84p<0,001 | 885,65p<0,001 | 5007,63p<0,001 | 2624,15p<0,001 | - | - |
| Navarra | 1303,53p<0,001 | 891,41p<0,001 | 3721,32p<0,001 | 2629,90p<0,001 | −1286,30p<0,001 | 5,75p=1 |
Por último, en la figura 2 se presentan los modelos de regresión para cada grupo. Tanto en las mujeres supervivientes de cáncer de mama como en las del grupo control, las variables que más influyen en el coste de la trayectoria son el número de fármacos, la comorbilidad y el índice de Charlson. La variabilidad explicada es similar en ambos modelos de regresión. Los resultados detallados de estos modelos pueden consultarse en las Tablas S2 y S3 del Material Suplementario.
DiscusiónEl presente estudio proporciona una visión integral sobre el uso de recursos y los costes asociados a las trayectorias asistenciales de mujeres con larga supervivencia de cáncer de mama. Los resultados muestran que las supervivientes presentan un mayor uso de recursos sanitarios, así como un incremento significativo en los costes, en particular en consultas externas y hospitalizaciones, en comparación con mujeres sin cáncer de mama. Además, variables como el número de enfermedades en comorbilidad, el uso de fármacos y el índice de Charlson emergen como determinantes del coste total, tanto en el grupo de supervivientes como en el grupo control. Este incremento en el coste se debe al mayor uso de los recursos sanitarios por las mujeres supervivientes, así como al elevado coste de alguna de las actividades que requieren.
Sin embargo, un hallazgo que merece especial atención es que las pruebas de laboratorio se realizaron con mayor frecuencia en el grupo control, y la diferencia fue estadísticamente significativa. Una posible explicación es que las supervivientes de cáncer de mama tienen un seguimiento más centrado en consultas especializadas y hospitalarias, donde las pruebas diagnósticas suelen ser más específicas y dirigidas a su condición clínica, en lugar de pruebas generales de laboratorio. En cambio, en el grupo control, estas pruebas podrían realizarse con mayor frecuencia dentro de las revisiones habituales en atención primaria, lo que explicaría el mayor uso en esta cohorte. Asimismo, es posible que las diferencias en la indicación médica de estas pruebas, en función del perfil clínico de cada grupo, contribuyan a este resultado.
Otro aspecto relevante es la asociación positiva entre el número de fármacos prescritos y el coste total de la trayectoria asistencial en todas las regiones estudiadas. Sin embargo, este efecto es más pronunciado en Madrid y Navarra en comparación con Aragón y Cataluña, lo que sugiere posibles diferencias en los patrones de prescripción farmacéutica entre comunidades autónomas. Tales diferencias pueden deberse a varios factores, incluyendo variaciones en las políticas sanitarias regionales, la disponibilidad de programas de prescripción eficiente y la existencia de protocolos diferenciados de manejo farmacoterapéutico para largas supervivientes de cáncer de mama. Los estudios previos han señalado que la variabilidad en la prescripción entre regiones puede estar influenciada por factores como la estructura del sistema de salud autonómico, la capacitación y los criterios clínicos de los profesionales sanitarios, así como la adherencia a las guías terapéuticas locales16.
Los hallazgos son concordantes con los de estudios previos que señalan un mayor uso de recursos sanitarios en pacientes con antecedentes de cáncer, atribuible al manejo de las complicaciones a largo plazo, la comorbilidad y las necesidades continuas de seguimiento17,18. El estudio de Jansana et al.5 también destacó el impacto en el uso de recursos del seguimiento en mujeres con larga supervivencia de cáncer de mama empleando la cohorte SURBCAN. Nuestro enfoque, basado en minería de procesos, aporta una metodología novedosa que permite describir de forma más detallada las trayectorias asistenciales, un aspecto que ha sido poco explorado en las investigaciones anteriores. Esto refuerza la importancia de emplear datos reales para mejorar la comprensión de los patrones de uso y las necesidades específicas de las supervivientes19. A partir de esta caracterización detallada del uso de los recursos sanitarios es posible calcular los costes asistenciales incurridos reales, obviando las limitaciones propias de los estudios del «coste de la enfermedad», consistentes en pequeñas muestras y el uso de cuestionarios para recoger datos sobre utilización de recursos en el pasado, sujetos a limitaciones de comprensión de las preguntas o de recuerdo20,21.
Nuestros resultados tienen implicaciones para la asignación de recursos sanitarios. La identificación de las consultas externas como la principal fuente de costes destaca la necesidad de optimizar este tipo de atención mediante estrategias como la telemedicina o los programas de atención integrada22,23. Además, los factores que influyen en los costes podrían guiar intervenciones dirigidas a reducir el uso de medicamentos innecesarios y a gestionar la comorbilidad de manera más eficiente, en particular en las mujeres con índice de Charlson elevado. Esto subraya la necesidad de desarrollar guías clínicas que prioricen intervenciones coste-efectivas en esta población, así como programas de educación para pacientes y profesionales sobre la gestión integral del cáncer de mama a largo plazo24.
Entre las fortalezas del estudio se encuentran el uso de datos de la vida real y la aplicación de la minería de procesos, que permiten una evaluación detallada y reproducible de las trayectorias asistenciales. Además, el análisis incluye el universo de largas supervivientes de cáncer de mama de cuatro comunidades autónomas con distintas realidades socioculturales y con diferencias en la gestión y la organización de los servicios sanitarios, así como todos sus contactos registrados con las distintas instancias y niveles asistenciales. Aunque esto no garantiza la representatividad del conjunto de España, proporciona una información relevante y representativa dentro del contexto de las comunidades incluidas, y que incluye, en cierta medida, la heterogeneidad de la población española. Asimismo, el enfoque utilizado permite identificar patrones clave que podrían ser aplicables a otras enfermedades crónicas de alta carga económica y asistencial. Sin embargo, el estudio también presenta algunas limitaciones. El uso de bases de datos administrativas puede limitar la disponibilidad de información sobre determinantes sociales y calidad de vida, que también son relevantes para comprender el impacto total del cáncer de mama. Por otro lado, la calidad de los datos (aunque evaluada) no es la misma para todas las comunidades autónomas participantes, y la completitud de los registros puede ser diferencial entre regiones, lo que afectaría a la configuración de las trayectorias asistenciales.
En cuanto a la estimación del coste por hospitalización, en nuestro estudio se obtuvo multiplicando el número de días de ingreso por el coste unitario de un día de hospitalización. Aunque este método es ampliamente utilizado, existen enfoques alternativos, como la utilización de los Grupos Relacionados con el Diagnóstico (GRD), que asignan un coste global en función del tipo de ingreso y las características clínicas del paciente. No obstante, la disponibilidad de datos en este estudio no permitía la aplicación de los GRD, por lo que se consideró que el enfoque basado en días de hospitalización ofrece una aproximación adecuada para la estimación del coste de los ingresos hospitalarios. Futuras investigaciones podrían comparar ambos métodos para evaluar posibles diferencias en la estimación del coste hospitalario.
Por último, cabe destacar otra limitación que tiene que ver con la aplicación de precios públicos o tarifas generales para costear las actividades de las pacientes, aunque en ausencia de costes específicos de ámbito nacional o regional consideramos que esta es una buena aproximación a la estimación del coste real de las actividades consideradas en nuestro estudio.
Este trabajo abre la puerta a futuras investigaciones en varias direcciones. Una extensión natural es explorar la calidad de las trayectorias asistenciales y su relación con los resultados en salud, además de analizar en profundidad las diferencias encontradas entre regiones en cuanto al coste total de las trayectorias. Hay que tener en cuenta que, dado que las actividades se configuran como contactos de las pacientes con el sistema sanitario, el coste medido se refiere al coste de utilización de servicios sanitarios por estas pacientes debido a cualquier causa, por lo que un análisis detallado podría determinar si las diferencias encontradas se deben al manejo de las pacientes supervivientes de cáncer de mama o a otras causas.
En conclusión, este estudio demuestra la utilidad de los datos de la vida real para evaluar el uso de recursos y los costes sanitarios asociados a las trayectorias asistenciales de las mujeres con larga supervivencia de cáncer de mama. Estos resultados podrían ser útiles para diseñar estrategias más eficientes en la atención sanitaria de esta población, lo que podría beneficiar tanto a las pacientes como al sistema de salud en su conjunto. Además, la implementación de intervenciones basadas en datos podría transformar el panorama del cuidado a largo plazo para pacientes con enfermedades crónicas, generando beneficios tangibles tanto individuales como colectivos.
ConclusionesEste estudio pone de manifiesto cómo se pueden emplear los datos sanitarios de uso habitual para estimar los costes asistenciales de las pacientes con larga supervivencia de cáncer de mama. La metodología que aquí se presenta se puede extender a cualquier condición de interés para los sistemas de salud y obtener información relevante para los decisores.
La investigación previa muestra un mayor uso de recursos sanitarios y costes asociados en pacientes con cáncer, con la atención limitada en los estudios al análisis detallado de las trayectorias asistenciales.
¿Qué añade el estudio realizado a la literatura?Este estudio utiliza datos de la vida real para describir trayectorias asistenciales y estimar costes en una cohorte de largas supervivientes de cáncer de mama.
¿Cuáles son las implicaciones de los resultados obtenidos?Los hallazgos apoyan las estrategias de optimización de los recursos y de atención integrada para largas supervivientes, orientando las políticas hacia una gestión más eficiente.
La autora principal (garante responsable del manuscrito) afirma que este manuscrito es un reporte honesto, preciso y transparente del estudio que se remite a Gaceta Sanitaria, que no se han omitido aspectos importantes del estudio, y que las discrepancias del estudio según lo previsto (y, si son relevantes, registradas) se han explicado.
Contribuciones de autoríaC. Valcárcel-Nazco, M. Sala-Serra y E. Bernal-Delgado han participado en la concepción y el diseño del estudio. B. Rodríguez-Díaz, D. Abbad-Gómez y F. Romero-Estupiñán han contribuido en el análisis de datos. C. Valcárcel-Nazco, D. Abbad-Gomez y C. Guirado-Fuentes han participado en la interpretación de los resultados. Todas las personas firmantes han revisado el manuscrito y realizado importantes contribuciones intelectuales en su redacción, y han aprobado la versión final del artículo.
AgradecimientosA todas las personas investigadoras que forman parte del proyecto coordinado CONCEPT.
FinanciaciónEste estudio ha recibido financiación de los proyectos PI19/00306 y PI22/00020, financiados por el Instituto de Salud Carlos III (ISCIII) y por los Fondos Europeos para el Desarrollo Regional (FEDER).
Conflictos de interesesNinguno.















