Comparar los fallecimientos por COVID-19 notificados diariamente por las comunidades autónomas al Sistema para la Vigilancia en España (SiVIES) con los datos consolidados del Instituto Nacional de Estadística (INE) entre marzo de 2020 y diciembre de 2022.
MétodoSe analizó el número de fallecidos por COVID-19 confirmada registrados en el SiVIES y en el INE (código CIE-10 U07.1 como causa básica de defunción) según periodo de mortalidad, sexo, edad y comunidad autónoma. Posteriormente se incluyeron los fallecidos con sospecha de COVID-19 (INE: código U07.2; SiVIES: posibles o probables, notificados hasta mayo de 2020).
ResultadosEn el SiVIES se notificaron 118.557 defunciones por COVID-19 confirmada, un 9,8% menos que en el INE (131.408). La diferencia fue menor en los periodos centrales (entre –5,7% y –7,9%) y mayor en las mujeres (–11%), en personas ≥80 años (–12%) y en Cataluña y Galicia (–18%). Al incluir sospecha de COVID-19, la diferencia aumentó del –13% al –36% en el primer periodo (hasta junio de 2020), cuando ambas fuentes recogían los casos sospechosos, mientras que en los periodos posteriores las diferencias fueron menores, aunque en el SiVIES solo se notificaban los casos confirmados.
ConclusionesLa diferencia de fallecidos por COVID-19 confirmada notificados en el SiVIES en comparación con el INE fue <10% globalmente, con diferencias por grupos de edad, sexo y comunidad autónoma. Las menores diferencias después del primer periodo podrían atribuirse a la mejora del sistema de vigilancia, y la amplia disponibilidad de pruebas diagnósticas explicaría el bajo impacto de incluir los casos sospechosos.
To compare the number of COVID-19 deaths reported daily by the autonomous communities to System for Surveillance in Spain (SiVIES) with the consolidated data from the National Statistics Institute (INE) between March 2020 and December 2022.
MethodThe number of confirmed COVID-19 deaths recorded in SiVIES and the INE (ICD-10 code U07.1 as the underlying cause of death) was analysed by mortality period, sex, age, and autonomous community. In a second step, deaths with suspected COVID-19 (INE: ICD code U07.2; SiVIES: possible or probable cases, notified up to May 2020) were included.
ResultsIn SiVIES, 118,557 confirmed COVID-19 deaths were reported, 9.8% fewer than in the INE (131,408). The difference was smaller in the central periods (between –5.7% and –7.9%) and larger in women (–11%), those aged ≥80 (–12%), and in Catalonia and Galicia (–18%). When including suspected COVID-19, the difference increased from –13% to –36% in the first period (until June 2020), when both sources collected suspected cases. In later periods, the differences were smaller, despite SiVIES reporting only confirmed cases.
ConclusionsThe difference in confirmed COVID-19 deaths reported in SiVIES vs. INE was <10% overall, with differences by age, sex, and autonomous community. The smaller differences after the first period may be attributed to improvements in the surveillance system, and the widespread availability of diagnostic tests may explain the low impact of including suspected cases.
La COVID-19 es la enfermedad producida por el coronavirus causante del síndrome respiratorio agudo grave tipo 2 (SARS-CoV-2), un nuevo coronavirus identificado por primera vez en Wuhan, China, a principios de enero de 20201. El 30 de enero de 2020, la Organización Mundial de la Salud (OMS) declaró la Emergencia de Salud Pública de Importancia Internacional2, y el 12 de marzo declaró la pandemia3. En España, el primer caso confirmado se detectó el 31 de enero de 2020 y el primer fallecimiento fue el 13 de febrero. Hasta el fin de la crisis sanitaria, el 4 de julio de 20234, se notificaron 13.914.811 casos5 y 122.057 fallecimientos6. La monitorización en tiempo real de los casos y los fallecimientos es vital para responder adecuadamente durante situaciones de crisis7,8.
La Red Nacional de Vigilancia Epidemiológica (RENAVE)9 es coordinada por el Centro de Coordinación de Alertas y Emergencias Sanitarias (CCAES) y gestionada por el Centro Nacional de Epidemiología (CNE), a través de la plataforma informática del Sistema de Vigilancia en España (SiVIES). Durante los primeros meses de la pandemia, las comunidades autónomas notificaron diariamente al CCAES de manera agregada el número de casos de COVID-19 confirmados, probables y posibles/sospechosos, hospitalizados, ingresados en la unidad de cuidados intensivos, fallecidos y recuperados. A partir del 11 de mayo de 202010 se estableció la notificación obligatoria individualizada al SiVIES solo de los casos confirmados, incorporando de manera retrospectiva aquellos que no se hubieran incluido previamente. A partir del 28 de marzo de 202211, la notificación obligatoria se limitó a poblaciones con factores de vulnerabilidad (mayores de 60 años, inmunodeprimidos y embarazadas), ámbitos vulnerables (sanitarios y sociosanitarios) y casos graves (con ingreso hospitalario o fallecimiento). Durante la pandemia, la mortalidad por COVID-19 fue analizada diariamente por el CCAES12 y semanalmente por el CNE13. Esta información de vigilancia, que se usó en tiempo real para la toma de decisiones, pudo ser incompleta, contener errores o sufrir retrasos7,14,15.
El Instituto Nacional de Estadística (INE) recoge la información del Certificado Médico de Defunción/Boletín Estadístico de Defunción y codifica las causas de muerte (inmediatas, intermedias, fundamentales y contribuyentes) según establece la OMS en la Clasificación Internacional de Enfermedades (CIE-10)16. Esta codificación permite una categorización estandarizada de las causas de muerte y facilita la determinación de la causa principal, denominada causa básica (CBAS). Estos datos podrían ofrecer mayores garantías de calidad8, pero su tiempo de consolidación y disponibilidad es superior a 1 año, haciéndolo inviable en situación de pandemia.
Este estudio tiene como objetivo evaluar la sensibilidad de la vigilancia de los fallecimientos por COVID-19 notificados a la RENAVE a través de SiVIES (en adelante, casos SiVIES) comparándolos con los recogidos por el INE según la CBAS, en distintos momentos de la pandemia. Como objetivo secundario, se analizarán los fallecimientos por COVID-19 del INE considerando adicionalmente la causa fundamental o intermedia.
MétodoDiseño del estudio y fuentes de informaciónSe realizó un estudio ecológico de comparación de datos agregados de mortalidad por COVID-19 a partir de dos fuentes de información con cobertura estatal: la vigilancia epidemiológica utilizada para el seguimiento de la pandemia (SiVIES) y los datos consolidados de mortalidad por causas del INE, para el periodo desde el inicio de la pandemia hasta diciembre de 2022. Como unidad de análisis se tomó el total estatal o por comunidades autónomas, así como el total del periodo de estudio o subperiodos de este.
Se extrajeron del SiVIES, a fecha 26 de diciembre de 2023, los casos cuyo resultado final fue el fallecimiento. Como fecha del caso se tomó la fecha de inicio de los síntomas o, en su defecto, la fecha de diagnóstico, y en caso de faltar ambas, la fecha clave (fecha para estadísticas reportada por la comunidad autónoma). Se obtuvo información de sexo, edad (en años cumplidos en el momento del diagnóstico de COVID-19), comunidad autónoma de notificación, comunidad autónoma de residencia, clasificación del caso (confirmado o, antes del 11 de mayo de 2020, probable o posible), fecha de defunción y causa de defunción (COVID-19, desconocida u otra). Las fechas de fallecimiento desconocidas se imputaron utilizando la mediana entre la fecha del caso y la fecha de defunción de los sujetos con información disponible (13 días).
Se tomaron como fallecimientos por COVID-19 aquellos con causa COVID-19 o desconocida, entre el 1 de marzo de 2020 y el 31 de diciembre de 2022, con información de sexo, edad y comunidad autónoma de residencia (salvo si era desconocida, que se tomó la de notificación). Los casos sin información de clasificación se consideraron confirmados, los únicos notificados a partir del 11 de mayo de 2020.
Se analizaron los ficheros de microdatos anonimizados de mortalidad por causas del INE (en adelante, defunciones del INE) entre 2020 y 2022. Se seleccionaron fallecidos con los códigos U07.1 (casos confirmados de COVID-19, virus identificado) o U07.2 (casos sospechosos de COVID-19, virus no identificado) en alguna de las causas (básica, fundamental o intermedia) de defunción16,17. Se recabaron el sexo, la edad (en años cumplidos en el momento del fallecimiento), la fecha de fallecimiento y la comunidad autónoma de residencia (salvo si era desconocida, en cuyo caso se tomó la del fallecimiento).
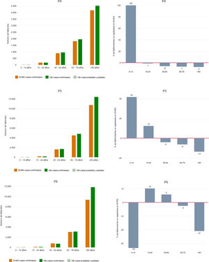
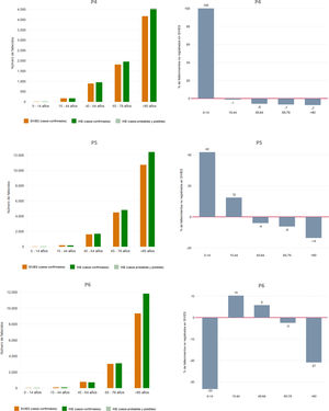
Análisis de los datosSe analizó el número de fallecidos por COVID-19 en ambas fuentes según comunidad autónoma, sexo, edad (0-14, 15-44, 45-64, 65-79 y ≥80 años) y periodo de mortalidad (según fecha de defunción), estableciendo seis periodos mediante examen visual de las ondas observadas (Fig. 1): periodo 1 (P1, de marzo a junio de 2020), periodo 2 (P2, de julio a noviembre de 2020), periodo 3 (P3, de diciembre de 2020 a mayo de 2021), periodo 4 (P4, de junio a octubre de 2021), periodo 5 (P5, de noviembre de 2021 a abril de 2022) y periodo 6 (P6, de mayo a diciembre de 2022).
Número de fallecidos por COVID-19, por mes de fallecimiento, según la fuente de datos (SiVIES o INE), y porcentaje de fallecidos no registrados en SiVIES. España, marzo de 2020 a diciembre de 2022. P1: primer periodo (del 1 de marzo al 30 de junio de 2020); P2: segundo periodo (del 1 de julio al 30 de noviembre de 2020); P3: tercer periodo (del 1 de diciembre de 2020 al 31 de mayo de 2021); P4: cuarto periodo (del 1 de junio al 31 de octubre de 2021); P5: quinto periodo (del 1 de noviembre de 2021 al 30 de abril de 2022); P6: sexto periodo (del 1 de mayo de 2022 al 31 de diciembre de 2022).
Para analizar la sensibilidad del sistema vigilancia se realizó una comparación entre los fallecimientos notificados en el SiVIES y los registrados según la CBAS en el INE. Se analizaron los fallecidos por COVID-19 confirmada (INE: código U07.1) y, adicionalmente, sumando los casos posibles y probables (INE: código U07.2; en el SiVIES únicamente los notificados hasta mayo de 2020). Se calculó el porcentaje de diferencia en la notificación entre ambas fuentes.
Para el objetivo secundario se calculó el incremento en el número de fallecimientos en el INE, según si el código U07.1 constaba como CBAS o considerando adicionalmente las causas fundamental e intermedia.
Se utilizó el programa estadístico Stata v16. No fue necesario solicitar aprobación al Comité de Ética, al enmarcarse en los objetivos de vigilancia epidemiológica nacional.
ResultadosSensibilidad del Sistema de vigilancia de fallecimientos por COVID-19Durante el periodo de estudio se registraron 118.557 fallecidos por COVID-19 confirmada en el SiVIES y 131.408 en el INE, resultando en una diferencia del –9,8% en el SiVIES respecto al INE. Añadiendo los casos posibles y probables, el número ascendió a 119.188 en el SiVIES y a 146.550 en el INE, y la diferencia de notificación se elevó al –19% (Tabla 1). La evolución temporal fue muy similar en ambas fuentes de datos. La notificación en el SiVIES y el INE fue más concordante en los periodos centrales de la pandemia (P3 y P4), observándose la mayor diferencia en el primer periodo (–13% en casos confirmados y –36% considerando también los posibles y probables) y en el último (–16% en casos confirmados) (Fig. 1 y Tabla 1).
Número de fallecimientos por COVID-19 registrados en el SiVIES y en el INE, y porcentaje de diferencia entre ambas fuentes, por periodos de mortalidad, sexo, grupos de edad y comunidad autónoma de residencia. España, marzo de 2020 a diciembre de 2022
| Variable | Categorías | N.° fallecidos SiVIES(confirmados) | N.° fallecidosINE(U07.1) | DiferenciaSiVIES vs. INE(%) | N.° fallecidos SiVIES (confirmados, probablesy posibles) | N.° fallecidosINE(U07.1, U07.2) | DiferenciaSiVIES vs. INE (%) |
|---|---|---|---|---|---|---|---|
| Total | 118.557 | 131.408 | -9,80 | 119.188 | 146.550 | -18,7 | |
| Periodo demortalidad | Periodo 1(01/03/20-30/06/20) | 29.128 | 33.312 | –12,6 | 29.759 | 46.662 | –36,2 |
| Periodo 2(01/07/20-30/11/20) | 19.223 | 20.861 | –7,85 | 19.223 | 21.865 | –12,1 | |
| Periodo 3(01/12/20-31/05/21) | 32.907 | 34.901 | –5,71 | 32.907 | 35.516 | –7,35 | |
| Periodo 4(01/06/21-31/10/21) | 7.048 | 7.562 | –6,80 | 7.048 | 7.640 | –7,75 | |
| Periodo 5(01/11/21-30/04/22) | 17.026 | 19.043 | –10,6 | 17.026 | 19.122 | –11,0 | |
| Periodo 6(01/05/22-31/12/22) | 13.225 | 15.729 | –15,9 | 13.225 | 15.745 | –16,0 | |
| Sexo | Hombre | 65.211 | 71.655 | –8,99 | 65.487 | 78.418 | –16,5 |
| Mujer | 53.096 | 59.753 | –11,1 | 53.451 | 68.132 | –21,6 | |
| Desconocido | 249 | 0 | NA | 249 | 0 | NA | |
| No consta | 1 | 0 | NA | 1 | 0 | NA | |
| Grupo deedad (años) | <15 | 40 | 32 | 25,0 | 40 | 34 | 17,7 |
| ≥15 y <45 | 998 | 927 | 7,66 | 1.002 | 993 | 0,91 | |
| ≥45 y <65 | 9.923 | 10.167 | –2,40 | 9.945 | 10.783 | –7,77 | |
| ≥65 y <80 | 31.868 | 34.052 | –6,41 | 32.003 | 36.415 | –12,1 | |
| ≥80 | 75.521 | 86.230 | –12,4 | 75.991 | 98.325 | –22,7 | |
| Desconocido | 207 | 0 | NA | 207 | 0 | NA | |
| Comunidadautónoma | Andalucía | 15.460 | 16.938 | –8,73 | 15.460 | 17.736 | –12,8 |
| Aragón | 5.451 | 5.388 | 1,17 | 5.451 | 5.714 | –4,60 | |
| Asturias, Principado de | 3.428 | 3.801 | –9,81 | 3.428 | 4.122 | –16,8 | |
| Baleares, Islas | 1.624 | 1.746 | –6,99 | 1624 | 1.791 | –9,32 | |
| Canarias | 2.171 | 2.409 | –9,88 | 2.176 | 2.524 | –13,8 | |
| Cantabria | 979 | 1.074 | –8,85 | 979 | 1.143 | –14,4 | |
| Castilla y León | 9.361 | 11.063 | –15,4 | 9.361 | 12.999 | –28,0 | |
| Castilla-La Mancha | 8.035 | 8.240 | –2,49 | 8.035 | 9.936 | –19,1 | |
| Cataluña | 20.558 | 25.117 | –18,2 | 21.100 | 28.201 | –25,2 | |
| Ceuta | 193 | 173 | 11,6 | 193 | 185 | 4,32 | |
| Comunidad Valenciana | 10.204 | 11.218 | –9,04 | 10.266 | 11.995 | –14,4 | |
| Extremadura | 2.679 | 3.053 | –12,3 | 2.679 | 3.354 | –20,1 | |
| Galicia | 4.012 | 4.896 | –18,1 | 4.012 | 5.015 | –20,0 | |
| Madrid, Comunidad de | 21.113 | 24.445 | –13,6 | 21.113 | 29.311 | –28,0 | |
| Melilla | 170 | 168 | 1,19 | 170 | 172 | –1,16 | |
| Murcia, Región | 2.513 | 2.685 | –6,41 | 2.513 | 2.743 | –8,38 | |
| de Navarra, Comunidad Foral | 1.770 | 1.896 | –6,65 | 1.770 | 2.077 | –14,8 | |
| de País Vasco | 7.875 | 6.156 | 27,9 | 7.897 | 6.515 | 21,2 | |
| Rioja, La | 961 | 942 | 2,02 | 961 | 1.017 | –5,51 |
INE: Instituto Nacional de Estadística; NA: no aplica; SiVIES: Sistema de Vigilancia en España; U07.1: código CIE-10 correspondiente a «COVID-19, virus identificado»; U07.2: código CIE-10 correspondiente a «COVID-19, virus no identificado».
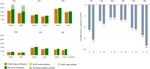
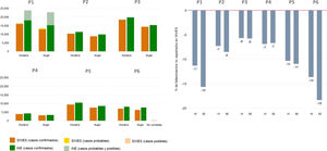
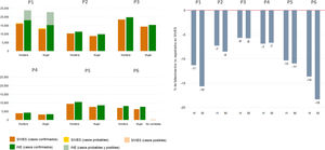
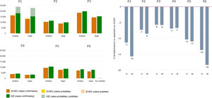
La diferencia entre el SiVIES y el INE fue ligeramente mayor en las mujeres que en los hombres (Tabla 1), tanto para los casos confirmados (–11% vs. –9,0%) como para el total de los casos (incluyendo probables y posibles, –22% vs. –17%). Considerando solo los casos confirmados (Fig. 2), la mayor diferencia de notificación entre mujeres y hombres se dio en los periodos 1 (–16% vs –11%) y 6 (–18% vs. –14%). La estratificación por grupo etario (véase el Material suplementario) reveló una mayor diferencia de notificación en las mujeres del grupo de edad ≥80 años durante los periodos 1 (–18% vs. –14%) y 6 (–22% vs. –20%), si bien al considerar la edad año a año, en vez de en grupos amplios, no se observa una diferencia sistemáticamente mayor en las mujeres respecto a los hombres (véase el Material suplementario). En menores de 15 años, en varones se notificaron 25 fallecimientos por COVID-19 confirmada en el SiVIES, frente a 15 en el INE. En contraste, en las mujeres el número fue más similar, con 15 casos en el SiVIES y 17 en el INE.
Número de fallecidos por COVID-19 confirmada, probable o sospechosa, según sexo, periodo de mortalidad y fuente de datos (SiVIES o INE), y porcentaje de fallecidos no registrados en el SiVIES (solo para casos confirmados) por periodo de mortalidad. P1: primer periodo (del 1 de marzo al 30 de junio de 2020); P2: segundo periodo (del 1 de julio al 30 de noviembre de 2020); P3: tercer periodo (del 1 de diciembre de 2020 al 31 de mayo de 2021); P4: cuarto periodo (del 1 de junio al 31 de octubre de 2021); P5: quinto periodo (del 1 de noviembre de 2021 al 30 de abril de 2022); P6: sexto periodo (del 1 de mayo de 2022 al 31 de diciembre de 2022).
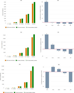
Por grupos de edad, la diferencia entre el SiVIES y el INE (Tabla 1) fue mayor en las personas ≥80 años, tanto para casos confirmados (–12%) como para el total de los casos (–23%). Por el contrario, en menores de 15 años, el número de fallecimientos notificados fue mayor en el SiVIES, tanto para casos confirmados (+25%) como para el total de los casos (+18%). Al examinar estas diferencias por periodos (Fig. 3) se observó que el gradiente de diferencias por edad se mantuvo para todos los periodos, si bien los números eran bajos en personas <15 años y de 15 a 44 años para mostrar tendencias claras.
Número de fallecidos por COVID-19 confirmada, probable o sospechosa, según grupo de edad, periodo de mortalidad y fuente de datos (SiVIES o INE), y porcentaje de fallecidos no registrados en el SiVIES (solo para casos confirmados) por grupo de edad y periodo de mortalidad. P1: primer periodo (del 1 de marzo al 30 de junio de 2020); P2: segundo periodo (del 1 de julio al 30 de noviembre de 2020); P3: tercer periodo (del 1 de diciembre de 2020 al 31 de mayo de 2021); P4: cuarto periodo (del 1 de junio al 31 de octubre de 2021); P5: quinto periodo (del 1 de noviembre de 2021 al 30 de abril de 2022); P6: sexto periodo (del 1 de mayo de 2022 al 31 de diciembre de 2022).
La mayoría de las comunidades autónomas presentaron un menor número de fallecimientos confirmados por COVID-19 en el SiVIES (Tabla 1), siendo mayor esta diferencia en Cataluña y Galicia (–18%), seguidas de Asturias (–17%). Cinco comunidades autónomas presentaron mayor número de fallecimientos notificados en el SiVIES: Aragón y Melilla (+1,2%), La Rioja (+2,0), Ceuta (+12%) y el País Vasco (+28%). Al añadir los casos posibles y probables, la diferencia fue mayor en Madrid y Castilla y León (ambas –28%), seguidas de Cataluña (–25%). Solo Ceuta (+4,3%) y el País Vasco (+21,2%) continuaron presentando más fallecimientos en el SiVIES. La mayor diferencia entre el análisis con casos confirmados o añadiendo los casos posibles y probables fue en Castilla-La Mancha, que pasó del –2,5% al –19%. El mismo análisis, pero estratificado por periodos, puede verse en el Material suplementario.
Variación en el número de fallecidos por COVID-19 en el INE al incorporar las causas de defunción fundamental e intermediaSe calculó el porcentaje de incremento en el número de fallecimientos por COVID-19 confirmada en el INE al incorporar aquellos con el código U07.1 en apartados del certificado de defunción diferentes de la CBAS (Tabla 2). El número de fallecidos ascendería a 134.681 (+2,5%) al incluir los fallecidos con el código U07.1 en CBAS o causa fundamental. Esta diferencia sería mayor en los periodos 5 y 6 (+3,3% y+3,6%, respectivamente), en los hombres (+2,7% vs.+2,3%), en las personas de edad ≥45 y <65 años (+3,9%) y en las Islas Baleares (+3,2%).
Número de fallecimientos por COVID-19 registrados en los datos del INE según si la COVID-19 (código U07.1) consta como causa básica de defunción, causa fundamental o causa intermedia, y porcentaje de incremento, por periodos de mortalidad, sexo, grupos de edad y comunidad autónoma de residencia. España, marzo de 2020 a diciembre de 2022
| Variable | Categorías | N.° fallecidoscon U07.1 como causa básica | N.° fallecidoscon U07.1 como causa básica o fundamental | Incremento respecto a usar solo causa básica (%) | N.° fallecidoscon U07.1 como causa básica, fundamental o intermedia | Incremento respecto a usar solo causa básica o fundamental (%) | Incremento respecto a usar solo causa básica (%) |
|---|---|---|---|---|---|---|---|
| Total | 131.408 | 134.681 | 2,49 | 136.326 | 1,22 | 3,74 | |
| Periodo demortalidad | Periodo 1(01/03/20-30/06/20) | 33.312 | 34.085 | 2,32 | 34.390 | 0,89 | 3,24 |
| Periodo 2(01/07/20-30/11/20) | 20.861 | 21.216 | 1,70 | 21.393 | 0,83 | 2,55 | |
| Periodo 3(01/12/20-31/05/21) | 34.901 | 35.654 | 2,16 | 35.868 | 0,60 | 2,77 | |
| Periodo 4(01/06/21-31/10/21) | 7.562 | 7.758 | 2,59 | 7.816 | 0,75 | 3,36 | |
| Periodo 5(01/11/21-30/04/22) | 19.043 | 19.679 | 3,34 | 20.065 | 1,96 | 5,37 | |
| Periodo 6(01/05/22-31/12/22) | 15.729 | 16.289 | 3,56 | 16.794 | 3,10 | 6,77 | |
| Sexo | Hombre | 71.655 | 73.559 | 2,66 | 74.516 | 1,30 | 3,99 |
| Mujer | 59.753 | 61.122 | 2,29 | 61.810 | 1,13 | 3,44 | |
| Grupo deedad (años) | <15 | 32 | 32 | 0,00 | 34 | 6,25 | 6,25 |
| ≥15 y <45 | 927 | 954 | 2,91 | 980 | 2,73 | 5,72 | |
| ≥45 y <65 | 10.167 | 10.560 | 3,87 | 10.819 | 2,45 | 6,41 | |
| ≥65 y <80 | 34.052 | 35.050 | 2,93 | 35.592 | 1,55 | 4,52 | |
| >80 | 86.230 | 88.085 | 2,15 | 88.910 | 0,94 | 3,11 | |
| Comunidadautónoma | Andalucía | 16.938 | 17.274 | 1,98 | 17.304 | 0,17 | 2,16 |
| Aragón | 5.388 | 5.477 | 1,65 | 5.487 | 0,18 | 1,84 | |
| Asturias, Principado de | 3.801 | 3.805 | 0,11 | 3.806 | 0,03 | 0,13 | |
| Baleares, Islas | 1.746 | 1.802 | 3,21 | 1.809 | 0,39 | 3,61 | |
| Canarias | 2.409 | 2.427 | 0,75 | 2.429 | 0,08 | 0,83 | |
| Cantabria | 1.074 | 1.099 | 2,33 | 1.106 | 0,64 | 2,98 | |
| Castilla y León | 11.063 | 11.169 | 0,96 | 11.184 | 0,13 | 1,09 | |
| Castilla-La Mancha | 8.240 | 8.283 | 0,52 | 8.297 | 0,17 | 0,69 | |
| Cataluña | 25.117 | 25.374 | 1,02 | 25.418 | 0,17 | 1,20 | |
| Ceuta | 173 | 175 | 1,16 | 176 | 0,57 | 1,73 | |
| Comunidad Valenciana | 11.218 | 11.380 | 1,44 | 11.414 | 0,30 | 1,75 | |
| Extremadura | 3.053 | 3.118 | 2,13 | 3.133 | 0,48 | 2,62 | |
| Galicia | 4.896 | 4.978 | 1,67 | 5.006 | 0,56 | 2,25 | |
| Madrid, Comunidad de | 24.445 | 24.739 | 1,20 | 24.850 | 0,45 | 1,66 | |
| Melilla | 168 | 171 | 1,79 | 175 | 2,34 | 4,17 | |
| Murcia, Región de | 2.685 | 2.722 | 1,38 | 2.729 | 0,26 | 1,64 | |
| Navarra, Comunidad Foral de | 1.896 | 1.929 | 1,74 | 1.939 | 0,52 | 2,27 | |
| País Vasco | 6.156 | 6.181 | 0,41 | 6.183 | 0,03 | 0,44 | |
| Rioja, La | 942 | 950 | 0,85 | 952 | 0,21 | 1,06 |
U07.1: código CIE-10 correspondiente a «COVID-19, virus identificado».
Contabilizando la aparición del código U07.1 en CBAS, causa fundamental o causa intermedia de defunción, frente a su aparición exclusivamente en CBAS, el número total de fallecidos ascendería a 136.326 (+3,7%), siendo de nuevo mayor en los periodos 5 y 6 (+5,4% y+6,8%, respectivamente), en los hombres (+4,0% vs.+3,4%), en el grupo de edad ≥45 y <65 años (+6,4%), y en Melilla (+4,2%) e Islas Baleares (+3,6%).
DiscusiónEl número de fallecimientos por COVID-19 confirmada notificados en el SiVIES entre marzo de 2020 y diciembre de 2022 fue un 10% inferior al registrado por el INE. Las diferencias son mucho más llamativas al inicio y al final de la pandemia, mientras que en los periodos centrales ambas fuentes aportan cifras más similares, con diferencias de entre el 6 y el 8%. Los resultados muestran diferencias según sexo y edad, apoyando la generación de hipótesis sobre las posibles fuentes de estas discrepancias.
Las mayores diferencias al inicio y final de la pandemia (periodos 1, 5 y 6) eran esperables, dado que la vigilancia tuvo una menor calidad o exhaustividad, al igual que ocurrió en otros países15,18. En el primer periodo, la escasez de pruebas diagnósticas19 y la saturación de los servicios sanitarios resultaron en barreras de acceso20. Esto pudo incrementar los fallecimientos extrahospitalarios, tanto en domicilios como en residencias de mayores15,21, sin prueba diagnóstica ni una clara causa del fallecimiento15,21–23, lo que justifica la disparidad en la atribución de la misma entre ambas fuentes y el incremento en las diferencias al incorporar los casos sospechosos en el primer periodo. También es posible que la incorporación retrospectiva de casos fuera menos exhaustiva para los sospechosos, por priorización y limitaciones de recursos, debido a la sobrecarga de los sistemas de vigilancia en ese periodo.
En los periodos centrales de la pandemia, las menores diferencias podrían atribuirse a la mejora del sistema de vigilancia, y la amplia disponibilidad de pruebas diagnósticas explicaría el bajo impacto de incluir los casos sospechosos respecto a considerar únicamente los confirmados en estos periodos.
En el último periodo se vuelven a observar mayores diferencias entre el SiVIES y el INE al no estar incluidos en el protocolo de vigilancia11 los fallecimientos extrahospitalarios de personas <60 años que no hubieran llegado a requerir ingreso hospitalario, una circunstancia excepcional que no explicaría la magnitud de las diferencias encontradas. Es más probable que, con el fin de la alerta sanitaria y la menor percepción de riesgo relacionada con la COVID-19, se redujera la exhaustividad diagnóstica, incluso en pacientes hospitalizados en los que sí se debería haber indicado la prueba según el nuevo (y más complejo) protocolo. También es posible que se redujera la calidad de la vigilancia en esta etapa, con menor exhaustividad en la notificación de los casos.
Podemos pensar en algunos factores diferenciales entre comunidades autónomas que podrían explicar las diferencias observadas, como la gestión de los sistemas y las bases de datos sanitarias, los protocolos o prácticas de confirmación diagnóstica, los procedimientos de seguimiento de casos hospitalizados (con inclusión o no de seguimiento posterior al alta, o cruce con bases de datos de mortalidad), los circuitos de notificación epidemiológica, especialmente de fallecimientos y sus causas, o la diferente integración de las residencias de mayores en los sistemas de vigilancia. Las diferentes hipótesis deben ser contrastadas y comprobadas en cada comunidad autónoma, para comprender, y en su caso mejorar, estos sistemas.
La diferencia entre el SiVIES y el INE es máxima en personas ≥80 años en todos los periodos, lo que podría relacionarse con una mayor proporción de fallecimientos extrahospitalarios24 y la dificultad para atribuir la causa de muerte en pacientes pluripatológicos25,26. En los más jóvenes, en cambio, los fallecimientos fueron más en el SiVIES, posiblemente por la elevada frecuencia de otras causas de fallecimiento en las poblaciones infantil y adolescente, en las que el SARS-CoV-2 se detecta, pero no es la causa principal27. Debido al bajo número absoluto de fallecimientos en estas edades, existe una gran variabilidad en los datos.
Los resultados desagregados por sexo muestran una mayor diferencia en la notificación de fallecimientos en las mujeres, más llamativa en personas de mayor edad, especialmente ≥80 años. Nuestro análisis apunta a que se debería a un sesgo residual asociado a la edad, por la mayor esperanza de vida de las mujeres28, aunque también hay estudios que han demostrado diferencias de género en la prestación de asistencia sanitaria durante la pandemia29.
Entre las limitaciones de este trabajo destaca haber definido unos periodos de mortalidad no coincidentes con los periodos epidémicos oficiales de la COVID-196. Debido al desfase natural entre la infección y el fallecimiento, las curvas de mortalidad están retrasadas respecto a las de contagio6,30, por lo que se consideró más adecuado establecer periodos de mortalidad que recogieran conjuntamente los fallecidos de cada onda epidémica. Es relevante que los límites entre periodos no coinciden con las actualizaciones fundamentales del protocolo de vigilancia en mayo de 2020 y marzo de 2022, sino que se contempló un periodo de transición debido a la posible implementación gradual del protocolo y para captar la onda completa de fallecimientos correspondientes a los casos posiblemente diagnosticados con anterioridad al cambio de protocolo. Además, no se utilizó directamente la fecha clave reportada por las comunidades autónomas; en su lugar, se recalculó a partir de los datos básicos disponibles, aplicando el mismo algoritmo teórico empleado por las comunidades autónomas con el fin de corregir posibles inconsistencias en su consignación entre territorios.
Al igual que se hizo durante la pandemia, se consideró que los casos de COVID-19 notificados al SiVIES fallecidos por causa desconocida eran fallecimientos por COVID-19, si bien solo fueron 263 fallecimientos (0,2% del total)31. Se eliminaron del SiVIES un 0,2% de fallecimientos con sexo o edad desconocidos, se utilizó la comunidad autónoma de notificación en vez de la de residencia en un 0,4% de los fallecimientos en el SiVIES y en un 0,3% en el INE, y la fecha de fallecimiento fue imputada en 975 (0,8%) fallecimientos en el SiVIES, ignorando ligeras diferencias en la mediana desde la hospitalización hasta el fallecimiento por periodos (rango 10-14 días vs. mediana global 13 días).
Por último, al tratarse de un estudio ecológico no es posible verificar las hipótesis sobre el origen de las diferencias encontradas. Sería importante realizar estudios de base individual, idealmente mediante la revisión de casos concretos, para establecer recomendaciones específicas de mejora.
Establecer la causa de la muerte es un proceso complejo, dado que es un evento competitivo en el que diversas condiciones pueden influir de manera simultánea16,32. La dificultad y la variabilidad en los algoritmos de atribución de la causa de muerte, así como el factor humano en la codificación, podrían explicar parcialmente los resultados obtenidos. En nuestro análisis, la inclusión de la causa intermedia o fundamental en el análisis solo incrementó como máximo un 3,7% el número de fallecimientos registrados por el INE, mostrando que la utilización de la CBAS captura la mayor parte de los casos de fallecimientos por COVID-19. Sería preciso un análisis pormenorizado de los casos con códigos U07.1 en la causa fundamental o intermedia para comprender la validez de la utilización de la CBAS.
En conclusión, los datos de fallecimientos por COVID-19 ofrecidos por el SiVIES se aproximaron a los obtenidos de una fuente consolidada como es el INE, especialmente en los periodos centrales de la pandemia. Nuestros resultados muestran la validez y la calidad que tuvo esta vigilancia individualizada en tiempo real, indispensable para monitorizar el impacto de la COVID-19 e informar la toma de decisiones sobre su control. Las diferencias por subgrupos ayudan a generar hipótesis sobre las causas de estas diferencias y aportan información útil de cara a la preparación frente a futuras situaciones similares.
Disponibilidad de bases de datos y material para réplicaDatos disponibles a petición: bases del Sistema de Vigilancia Epidemiológica en España; ver información de contacto del autor de correspondencia.
Datos disponibles de un tercero: microdatos anonimizados de mortalidad por causas; Instituto Nacional de Estadística (https://www.ine.es/infoine).
La información diaria sobre los fallecimientos por COVID-19 proporcionada por la vigilancia epidemiológica en España durante la pandemia fue clave para la toma de decisiones en tiempo real, aunque pudo ser incompleta, contener errores o sufrir retrasos.
¿Qué añade el estudio realizado a la literatura?Compara la mortalidad por COVID-19 notificada a la Red Nacional de Vigilancia Epidemiológica con los datos consolidados del Instituto Nacional de Estadística entre 2020 y 2022.
¿Cuáles son las implicaciones de los resultados obtenidos?El estudio respalda la utilidad y la calidad de la vigilancia epidemiológica en contextos de crisis, proporcionando información cercana a una fuente consolidada como el Instituto Nacional de Estadística.
Alberto Lana.
Declaración de transparenciaLa autora principal (garante responsable del manuscrito) afirma que este manuscrito es un reporte honesto, preciso y transparente del estudio que se remite a Gaceta Sanitaria, que no se han omitido aspectos importantes del estudio, y que las discrepancias del estudio según lo previsto (y, si son relevantes, registradas) se han explicado.
Contribuciones de autoríaS. Campos y S. Monge diseñaron el estudio. S. Campos realizó el análisis de los datos y escribió la primera versión del manuscrito, con la supervisión y el apoyo de S. Monge, y con aportaciones del resto de las personas firmantes, que participaron activamente en las decisiones de análisis, interpretación y discusión de resultados, y revisaron críticamente el contenido del artículo.
FinanciaciónNinguna.
Conflictos de interesesNinguno.















