Describir los resultados sobre el estado nutricional de niños/as de 8 a 14 años con sobrepeso u obesidad y poco activos/as, antes y después de una intervención nutricional con promoción de la actividad física (Programa ACTIVA’T).
MétodoEstudio antes-después en población infantil (8-14 años) de Vilafranca del Penedès (Barcelona) con sobrepeso u obesidad y poco activos, aleatorizados en grupo control (n = 51, 47,1% niñas, intervención nutricional y actividad física ≤3h/sem) y en grupo ACTIVA’T (n = 45, 37,8% niñas, intervención nutricional y actividad física ≥5h/sem). Se determinaron el índice de masa corporal, el índice cintura/altura y la calidad de la dieta mediante el test KIDMED al inicio y al final del estudio. Durante la intervención, cada participante estuvo acompañado/a por un familiar (padre o madre) que realizó las mismas actividades que los/las niños/as.
ResultadosLas recomendaciones dietéticas han cambiado positivamente los hábitos del grupo ACTIVA’T y del grupo control. La reversión en la prevalencia de sobrepeso y obesidad ha sido del 93,8% y el 58,6%, respectivamente, en el grupo ACTIVA’T, frente al 25,0% y el 35,8% en el grupo control. La obesidad abdominal se redujo del 42,2% al 17,8% en el grupo ACTIVA’T y del 47,1% al 27,5% en el grupo control.
ConclusionesEl programa de educación nutricional y promoción de la actividad física ACTIVA’T mejora la calidad de la dieta y revierte la prevalencia de sobrepeso y obesidad en la población infantil poco activa.
To assess a 6-month nutritional and physical activity intervention program on the nutritional status of overweight or obese and not very active 8-14 years old children by means of a controlled pre-post design (ACTIVA’T program).
MethodPre-post study in 8-14 years old overweight or obese and low active children from Vilafranca del Penedès (Barcelona, Spain) randomized in control group (n = 51, 47.1% girls, nutritional intervention and ≤3h/wk physical activity) and ACTIVA’T group (n = 45, 37.8% girls, nutritional and physical activity ≥5h/wk intervention). Body mass index, waist/height index, and diet quality by means of KIDMED test at the beginning and at the end of the program were assessed. During the intervention, each participant was accompanied by a relative (father or mother) who performed the same activities as the children.
ResultsDietary recommendations have positively changed the habits of both ACTIVA’T and control group. The reversion in the prevalence of overweight and obesity was 93.8% and 58.6%, respectively, in the ACTIVA’T group, compared to 25.0% and 35.8% in the control group. Abdominal obesity was decreased from 42.2% to 17.8% in the ACTIVA’T group and from 47.1% to 27.5% in the control group.
ConclusionsThe program ACTIVA’T (nutritional education and physical activity promotion) improves the quality of diet and reverses the prevalence of overweight and obesity in the underactive child population.
La inactividad física es el cuarto factor de riesgo de mortalidad más importante en todo el mundo, con un creciente aumento en muchos países, e influye considerablemente en la prevalencia de enfermedades no transmisibles y en la salud general de la población mundial1. En la población infantil, las recomendaciones de actividad física se centran en acumular 60 minutos de actividad de intensidad moderada o vigorosa a lo largo del día (desplazamientos, clase de educación física, recreos en la escuela, actividades extraescolares, etc.). Sin embargo, según el informe de la Fundación para la Investigación Nutricional sobre Actividad Física en niños y adolescentes en España2, basado en datos objetivos obtenidos por acelerometría en estudios europeos multicéntricos (IDEFICS [Identification and prevention of Dietary- and lifestyle-induced health EFfects in Children and infantS]3, HELENA [Healthy Lifestyle in Europe by Nutrition in Adolescence]4 y EYHS [European Youth Heart Study]5) y en datos autorreferidos del estudio HBSC (Health Behaviour in School-aged Children)6, menos de la mitad (21-40%) de los/las niños/as y adolescentes de España cumplen con las recomendaciones de actividad física.
En cuanto a la práctica de actividad físico-deportiva organizada, según el estudio de hábitos deportivos de la población escolar en España realizado en 2011, el 63% de la población escolar española (6-18 años, n = 17.632) practicaba alguna actividad al menos una vez por semana, siendo mayor el porcentaje en los varones (73%) que en las mujeres (53%); sin embargo, dicho porcentaje se reducía con la edad (del 64% a los 6-7 años al 50% a los 16-18 años)7. En Cataluña, en el año 2015, solo el 41,0% de la población de 7-10 años y el 25,2% de la de 11-14 años practicaba al menos una hora de actividad física extraescolar deportiva, o bien jugaba en el parque o en la calle8.
El estudio enKid, realizado en población española de 2 a 24 años entre los años 1998 y 2000, ya puso de manifiesto que la prevalencia de obesidad era más elevada entre los varones y las mujeres que no practicaban ningún deporte habitualmente, y en aquellos/as que dedicaban mayor tiempo al desempeño de actividades sedentarias (estudio, televisión, ordenador, videojuegos…)9. Sin embargo, una reciente revisión de las intervenciones dirigidas a la obesidad infantojuvenil ha identificado un escaso número de este tipo de estudios llevados a cabo en España. Asimismo, se ha demostrado que uno de los factores más importantes a tener en cuenta en las intervenciones son las características individuales, familiares y de contexto, por lo que se recomienda la implementación de programas multicomponente que propongan cambios en el estilo de vida, la alimentación y la actividad física, que incluyan a la familia, y comenzar en edades lo más precoces posible10.
En este sentido, cabe citar la teoría socioecológica de Dahlgren y Whitehead11, ya clásica, de los determinantes de la salud, que relaciona individuo, medio ambiente y enfermedad, donde el comportamiento social y estilos de vida, así como los patrones y las normas de la comunidad, las influencias sociales y comunitarias, las condiciones de vida y de ocupación, y el acceso a los servicios esenciales, pueden condicionar el estado final de salud del individuo. Asimismo, se ha apuntado que los determinantes sociales de la salud de cada país tienen una caracterización muy particular, dependiendo del sistema social, de la ideología y de la cultura dominantes; pero los determinantes más comunes son las redes de apoyo social, el empleo y las condiciones de trabajo, así como los estilos de vida12. Desde el año 2005, la Estrategia NAOS desarrolla acciones o intervenciones en todos los ámbitos de la sociedad (familiar, educativo, empresarial, sanitario, laboral, comunitario) que promueven y facilitan opciones para seguir una alimentación variada y equilibrada, y para la práctica de actividad física13. La Guía de práctica clínica sobre la prevención y el tratamiento de la obesidad infantojuvenil del Sistema Nacional de Salud, publicada en 2009, ha sido otra de las estrategias desarrolladas para abordar la prevención y el tratamiento de la obesidad infantil y juvenil en España14. Sin embargo, el impacto de las intervenciones realizadas hasta ahora no parece conseguir controlar el avance de la obesidad y el sobrepeso10.
De acuerdo con estos antecedentes, el presente estudio tiene como objetivo describir los resultados sobre el estado nutricional de niños/as de 8 a 14 años con sobrepeso u obesidad y poco activos/as, residentes en Vilafranca del Penedès (Barcelona), antes y después de una intervención nutricional con promoción de la actividad física (Programa ACTIVA’T).
MétodoEstudio antes-después sobre los resultados de una intervención en actividad física y dietética personalizada, de 6 meses de duración y con grupo control, en población infanto-juvenil poco activa y con sobrepeso u obesidad, que se inició en noviembre de 2012 por acuerdo entre el Equipo de Pediatría del Alt Penedès del Institut Català de la Salut y el Complex Aquàtic del Ayuntamiento de Vilafranca del Penedès (Barcelona).
La población objeto de estudio estuvo formada por niños y niñas de entre 8 y 14 años, con sobrepeso u obesidad y poco activos/as, que asistían al Centro de Atención Primaria de Vilafranca del Penedès. El sobrepeso y la obesidad se definieron como un índice de masa corporal (IMC, kg/m2) igual o superior al percentil 85 y 95, respectivamente, a partir de los datos de referencia de crecimiento para niños/as y adolescentes de 5-19 años de la Organización Mundial de la Salud15. Una baja actividad se definió como una actividad física igual o inferior a 3 horas a la semana16. La muestra de estudio estuvo formada por un total de 140 sujetos que se distribuyeron de forma aleatoria en dos grupos (n = 70 por grupo): grupo ACTIVA’T (al que se aplicó el programa de intervención ACTIVA’T) y grupo control. En el grupo ACTIVA’T, 25 participantes abandonaron el programa sin completar los 6 meses intervención, quedando la muestra final en 45; en el grupo control, 19 participantes abandonaron el estudio, quedando la muestra final del grupo control en 51. Este estudio se realizó de acuerdo con las directrices establecidas en la Declaración de Helsinki, y todos los procedimientos fueron aprobados por el Comité Ético de la Dirección del Àmbit d’Atenció Primaria de l’Alt Penedès-Garraf de l’Institut Català de la Salut (Barcelona, España). Al inicio del estudio se proporcionó a los/las cuidadores/as de los participantes el documento de consentimiento informado.
El Programa ACTIVA’T, de intervención nutricional y de actividad física, de 6 meses de duración, se diseñó según el modelo teórico Procede-Proceed, que facilita la elaboración de un diagnóstico comunitario que aborda múltiples determinantes de la salud y permite la participación activa de la población17. Durante la intervención, cada participante estuvo acompañado/a por un/a familiar (preferentemente el padre o la madre) que siguió y realizó las mismas actividades que el niño o la niña. La modificación de los hábitos alimentarios, aplicada a ambos grupos de estudio, consistió en fomentar el seguimiento de la dieta Mediterránea, para lo cual se utilizó el material desarrollado por el Programa de atención compartida en la población con obesidad infantil Hospital Sant Joan de Déu - Atención Primaria18. Durante los primeros 3 meses, de forma quincenal, todos los participantes del grupo ACTIVA’T asistieron a consulta dietética, habiendo cumplimentado previamente registros dietéticos durante la semana anterior a la entrevista. Si después de 3 meses de intervención el/la participante cumplía las modificaciones dietéticas, el consejo nutricional se realizaba mensualmente hasta cumplir los 6 meses de intervención.
El programa de ejercicio físico, en el grupo ACTIVA’T, consistió en realizar 5 o más horas de actividad física en el centro deportivo municipal Complex Aquàtic de Vilafranca del Penedès, y fue elaborado por los licenciados en educación física de dicho centro. Este programa complementaba las 2 horas de actividad física que realizaban los participantes en la escuela, dentro del programa curricular, con dos sesiones semanales adicionales de 60 minutos cada una. Cada sesión consistió en un calentamiento, seguido de ejercicios aeróbicos que mantuvieran la frecuencia cardiaca máxima en un 65-80%, y finalizaba con ejercicios de relajamiento en la piscina. El pulso (Polar®, modelo A300, Oulu, Finlandia) y la frecuencia cardiaca (Polar®, modelo H1 HR Sensor, Oulu, Finlandia) del niño o niña y su familiar acompañante (padre o madre) también fueron monitorizados durante la práctica del ejercicio aeróbico. Con el fin de alcanzar las 5 horas semanales de actividad física, se propuso a los/las participantes escoger una tercera actividad aeróbica a realizar en familia o con amigos (p. ej., caminar a un ritmo rápido, correr, nadar, ir en bicicleta, etc.). Además, los/las participantes registraban la actividad física realizada en una ficha, especificando el tiempo dedicado en cada máquina de fitness del centro deportivo (cinta ergogénica y cicloergómetro). El trabajo del asesor deportivo fue mantener la motivación de participantes y familiares por acumular tiempo en las distintas máquinas de fitness, adaptando el trabajo de manera personalizada.
El grupo control recibió idéntica intervención nutricional y frecuencia de visitas durante los 6 meses, pero los/las participantes únicamente desarrollaron la actividad física propia de los centros escolares, con una duración igual o inferior a 3 horas semanales.
Al inicio del estudio y a los 6 meses se midieron el peso, la altura y la cintura de los/las participantes. El peso se obtuvo con una báscula mecánica (Pesperson® 1111, Barcelona, España) previamente calibrada, con un rango de medición de 0-140kg y una precisión de 100g, con los/las participantes descalzos/as y en ropa interior. La estatura se midió con un tallímetro (Pesperson® 6611, Barcelona, España), con un rango de medición de 0-200cm y una precisión de 1mm, en bipedestación, sin calzado, con la cabeza situada en el plano de Frankfurt. El perímetro de la cintura se midió con una cinta no extensible (Seca® modelo 201, México D.F., México), con un rango de 0-205cm y una precisión de 1mm. Con el peso y la altura se calculó el IMC, y con la cintura y la altura se calculó el índice cintura-talla (ICA). La obesidad abdominal se definió como ICA ≥0,519.
Al inicio y al final del estudio se aplicó el test de adherencia a la dieta mediterránea KIDMED (tabla 1)20, que se interpretó de la siguiente forma: las puntuaciones <3 se consideran muy alejadas de un modelo de dieta mediterránea; valores entre 3 y 7 se consideran aceptables, aunque requieren mejoras; y puntuaciones de 8 se consideran adecuadas.
Cuestionario KIDMED de adherencia a la dieta mediterránea
| Preguntas | Puntuación | |
|---|---|---|
| 1. | ¿Tomas una fruta o un zumo cada día? | +1 |
| 2. | ¿Tomas otra segunda fruta cada día? | +1 |
| 3. | ¿Tomas vegetales (frescos o cocinados) una vez al día? | +1 |
| 4. | ¿Tomas vegetales (frescos o cocinados) más de una vez al día? | +1 |
| 5. | ¿Tomas pescado habitualmente (mínimo 2-3 veces por semana)? | +1 |
| 6. | ¿Acudes a un restaurante de comida rápida (hamburguesa) más de una vez por semana? | −1 |
| 7. | ¿Te gustan las legumbres y las comes más de una vez a la semana? | +1 |
| 8. | ¿Tomas pasta o arroz casi cada día (5 o más veces por semana)? | +1 |
| 9. | ¿Comes cereales o pan para desayunar? | +1 |
| 10. | ¿Tomas frutos secos habitualmente (2-3 veces por semana)? | +1 |
| 11. | ¿Usas aceite de oliva en casa? | +1 |
| 12. | ¿Te saltas el desayuno? | −1 |
| 13. | ¿Tomas un lácteo en el desayuno? | +1 |
| 14. | ¿Tomas alguna pieza de bollería en el desayuno? | −1 |
| 15. | ¿Tomas dos yogures o queso (40 g) al día? | +1 |
| 16. | ¿Tomas dulces o caramelos varias veces al día? | −1 |
El análisis estadístico se realizó con la ayuda del programa informático SPSS versión 24.0 (SPSS Inc., Chicago, IL, USA). Para evaluar la existencia de diferencias estadísticamente significativas entre las variables cualitativas (sexo, grupos de IMC, ICA y KIDMED, preguntas del test KIDMED) y las variables cuantitativas (edad, IMC, ICA, puntuación del test KIDMED) (variables independientes) con respecto a los dos grupos de estudio (variable independiente) se utilizaron las pruebas de ji al cuadrado y U de Mann-Whitney, respectivamente. Se estableció como nivel de significación estadística p <0,05.
ResultadosLas características generales al inicio del estudio en el grupo ACTIVA’T y en el grupo control se muestran en la tabla 2. No hubo diferencias estadísticamente significativas en cuanto a sexo, IMC e ICA entre ambos grupos; sin embargo, los/las participantes asignados/as al grupo control obtuvieron una mayor adherencia a la dieta mediterránea (mediana: 8,0; rango intercuartílico: 2,0) que los/las del grupo ACTIVA’T (mediana: 4,0; rango intercuartílico: 2,0). A los 6 meses de intervención, el grupo ACTIVA’T alcanzó una puntuación de 7,0 (rango intercuartílico: 3,0), lo cual supuso un incremento de 3,0 puntos, mientras que el grupo control alcanzó una puntuación de 9,0 (rango intercuartílico: 2,0), lo cual supuso un incremento de 1,0 punto (datos no mostrados).
Características generales de los grupos ACTIVA’T y control al inicio del estudio
| ACTIVA’T (n = 45) | Control (n = 51) | p | |
|---|---|---|---|
| Edad (años)a | 12,3 (1,8) | 12,0 (3,9) | 0,011 |
| Sexob | |||
| Niños | 28 (62,2) | 27 (52,9) | 0,359 |
| Niñas | 17 (37,8) | 24 (47,1) | |
| IMC (kg/m2)a | 24,0 (5,3) | 23,2 (5,1) | 0,357 |
| IMC gruposb | |||
| Sobrepeso | 16 (35,6) | 12 (23,5) | 0,196 |
| Obesidad | 29 (64,4) | 39 (76,5) | |
| ICAa | 0,50 (0,04) | 0,50 (0,03) | 0,820 |
| ICA gruposb | |||
| No obesidad abdominal | 26 (57,8) | 27 (52,9) | 0,634 |
| Obesidad abdominal | 19 (42,2) | 24 (47,1) | |
| KIDMED (puntuación)a | 4,0 (2,0) | 8,0 (2,0) | <0,001 |
| KIDMED gruposb | |||
| ≤3 | 8 (17,8) | 3 (5,9) | <0,001 |
| 4-7 | 32 (71,1) | 14 (27,5) | |
| ≥8 | 5 (11,1) | 34 (66,7) | |
ICA: índice cintura/altura; IMC: índice de masa corporal.
Los valores se expresan como mediana (rango intercuartílico) o n (%).
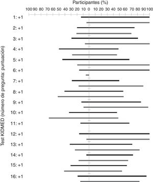
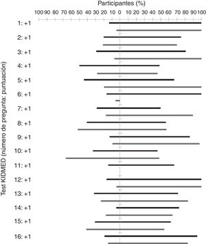
La evolución del test KIDMED de adherencia a la dieta mediterránea transcurridos 6 meses de intervención respecto al inicio de la misma se muestra en la figura 1. En ambos grupos, los/las participantes mejoraron su adherencia a la dieta mediterránea (al pasar de una puntuación de −1 o 0 al inicio de la intervención a una puntuación de 0 o 1 al final del estudio) en un 80-100% para los ítems 1, 3, 9, 12 y 16, del 60-80% para los ítems 2 y 7, y del 45-60% para los ítems 4, 8 y 10. En cambio, el 25% de la población de ambos grupos empeoró su adherencia a la dieta mediterránea (al pasar de una puntuación de 0 o 1 al inicio de la intervención a una puntuación de −1 o 0 al finalizar el estudio) para los ítems 4, 8, 10 y 15, así como en los ítems 3, 5 y 7 en el 25% del grupo ACTIVA’T.
Evolución del test KIDMED (6 meses respecto al inicio) en el grupo ACTIVA’T (barras oscuras) y el grupo control (barras claras). Los valores situados a la derecha de la figura expresan el porcentaje de participantes que mejoran su adherencia a la dieta mediterránea (se pasa de una puntuación de −1 o 0 al inicio de la intervención a una puntuación de 0 o 1 al final). Los valores situados a la izquierda de la figura indican un deterioro de la adherencia a la dieta mediterránea (se pasa de una puntuación de 0 o 1 al inicio de la intervención a una puntuación de −1 o 0 al finalizarla). Se omite el porcentaje de participantes que mantuvieron su puntuación.
A pesar de ello, como resultado de la intervención se observó que el 93,8% (n = 15) de los participantes con sobrepeso del grupo ACTIVA’T se situó en normopeso tras 6 meses de intervención, mientras que el 41,4% (n = 12) de los participantes con obesidad no modificaron su estado; de estos últimos, el 48,3% (n = 14) se situó en sobrepeso y el 10,3% (n = 3) en normopeso. En el grupo control, tan solo el 25,0% (n = 3) de los participantes con sobrepeso se situó en normopeso, y el 61,5% (n = 24) de los obesos no modificó su estado; de estos últimos, el 35,9% (n = 14) pasó a sobrepeso y el 2,6% (n = 1) a normopeso (fig. 2 A). Tras 6 meses de intervención, la obesidad abdominal se redujo del 42,2% al 17,8% en el grupo ACTIVA’T y del 47,1% al 27,5% en el grupo control, si bien esta diferencia no fue estadísticamente significativa (fig. 2 B).
DiscusiónEl programa de intervención ACTIVA’T (consulta dietética más actividad física ≥5 horas semanales) ha influido positivamente sobre los hábitos nutricionales y los estilos de vida. Un 80-100% de los participantes consume una ración de fruta y verduras al día, desayuna a diario, consume pan o cereales para desayunar y, al mismo tiempo, evita el consumo de dulces o caramelos varias veces al día. Un 60-80% de los sujetos ha consumido diariamente una segunda fruta y, al menos, legumbres una vez a la semana. El 45-60% de los participantes que no lo hacían, tras la intervención ya consumen una segunda ración de verduras al día, pasta o arroz casi a diario, y frutos secos dos o tres veces a la semana. A pesar de esta mejoría en los hábitos dietéticos, se redujeron en un 25% los participantes que consumían una segunda ración de vegetales, pasta o arroz casi a diario, frutos secos dos o tres veces a la semana y dos yogures o 40g de queso al día. Además, el 25% de los participantes del grupo ACTIVA’T que consumían pescado dos o tres veces a la semana y legumbres al menos una vez a la semana perdieron dicho hábito. Resultados similares se encontraron en los participantes intervenidos solo nutricionalmente (grupo control). Por tanto, estos resultados no demuestran que el aumento en las horas invertidas en ejercicio físico suponga una mejora general en los hábitos saludables; sin embargo, sí se han encontrado mejoras en la reversión del sobrepeso y la obesidad infantil, lo que permite afirmar que intervenir exclusivamente en la dieta, sin hacerlo sobre la actividad física en niños/as con hábitos sedentarios, puede no ser suficiente.
Uno de los estudios pioneros sobre combinación de actividad física y modificación de hábitos dietéticos para el tratamiento de la obesidad infantil fue el llevado a cabo por Brownell y Kaye21, en el que tras 10 semanas de intervención dietética y ejercicio físico se obtuvo un descenso en el sobrepeso del 15,4% en la población intervenida. Tras 6 meses de intervención, el programa de promoción de actividad física y dieta saludable WAY (Wellness, Academics & You), el cual se llevó a cabo en 16 escuelas de primaria de los Estados Unidos, consiguió una reducción significativa del IMC en los alumnos que presentaban sobrepeso y obesidad22.
En España, el programa THAO-Salud Infantil23 es una intervención basada en la comunidad para promocionar una alimentación variada y equilibrada y fomentar la actividad física en los/las niños/as y sus familias. Tras la implementación del programa en diez municipios, con 6697 niños y niñas involucrados/as, el estudio longitudinal de los primeros 4 años de seguimiento reportó un incremento del 1% en la prevalencia de sobrepeso y obesidad, lo cual supuso un freno en el incremento del exceso de peso infantil. El programa Niñ@s en movimiento es una intervención realizada en 81 niños y niñas de 6 a 12 años de edad visitados/as en la Unidad de Endocrinología Pediátrica del Hospital Materno-infantil Vall d’Hebron de Barcelona durante los años 2005 y 2006, cuya implementación también comportó una disminución del IMC, un aumento de la calidad de la dieta mediterránea y una disminución de los rasgos de ansiedad y depresión24. El Programa NEREU25, ideado para promover o mantener un cambio de hábitos de actividad física y alimentación saludable en niños/as con sobrepeso y sus familias, obtuvo buenos resultados en lo que se refiere a hábitos de actividad física, conductas sedentarias e IMC. Estudios posteriores apuntaron que el exceso en la ingesta de calorías no es la clave para explicar la alta prevalencia del sobrepeso y la obesidad en nuestro país, sino que va ligado al sedentarismo y la falta de actividad física26.
El presente estudio confirma estas apreciaciones anteriores, por cuanto muestra una mayor disminución tanto en la prevalencia de sobrepeso y obesidad como en la prevalencia de obesidad abdominal en aquellos/as participantes en quienes se estableció una estrategia de acción multifocal, incidiendo tanto en la dieta como en la actividad física. Por tanto, en la consulta, será necesaria una intervención de introducción o modificación tanto de hábitos nutricionales como de estilo de vida y actividad física, para lo cual los/las profesionales deberán contar con preparación adecuada en recomendaciones de nutrición y de práctica de actividad física, así como contar con tiempo suficiente para realizar dicha intervención y así lograr cambios positivos. Además, los cambios no solo deberían estar enfocados en el estilo de vida, la alimentación y la actividad física, sino que deberían incluir también el contexto donde se desarrolla la actividad: familia, colegio y, en general, los diferentes ambientes que puedan interactuar con el/la niño/a10,27. La reeducación de los/las niños/as y sus familias, el soporte psicológico y el incremento de la actividad física son altamente recomendables para contribuir a disminuir o eliminar la pandemia de obesidad que afecta a la población en general y a la infantil en particular. Este estudio presenta una forma sencilla y asequible de hacerlo. En definitiva, estos resultados no hacen sino contribuir a confirmar la teoría de Dahlgren y Whitehead11 de que las influencias medioambientales condicionarán, en sentido positivo o negativo, al individuo y sus patologías.
En conclusión, la adherencia a la dieta mediterránea mejoró tanto en el grupo control como en el grupo ACTIVA’T. No obstante, la disminución en la prevalencia de sobrepeso y obesidad, y de obesidad abdominal, fue mayor en el grupo ACTIVA’T, en el que se estableció una estrategia multifocal basada en dieta y actividad física. Por tanto, ACTIVA’T es un programa de intervención con una incidencia positiva sobre la reversión de la prevalencia de sobrepeso y obesidad en la población infantil poco activa.
Limitaciones y fortalezas del estudioEl estudio presenta una serie de limitaciones. En primer lugar, no se evaluaron los motivos de rechazo a la continuidad en el programa de intervención y no puede descartarse la posibilidad de que otros factores no contemplados en el estudio puedan estar relacionados con los cambios observados. En segundo lugar, al aplicar el trabajo aeróbico monitorizado debe considerarse que el consumo calórico en la cinta ergogénica es superior al que puede obtenerse, en un mismo periodo de tiempo, en un cicloergómetro; no obstante, puesto que algunos niños requerían una adaptación, la transición se realizaba paulatinamente a fin de alcanzar el objetivo de mantener la frecuencia cardiaca máxima en un 65-80%. Sin embargo, a pesar de no haber evaluado el efecto del programa ACTIVA’T sobre el adulto acompañante, cuando se preguntó si «habían mejorado los hábitos de actividad física de la familia» el 72% de los familiares respondieron estar «muy de acuerdo», el 22% «bastante de acuerdo» y el 6% «de acuerdo»; ningún familiar respondió estar «poco de acuerdo» o «nada de acuerdo». Además, el 80% de los/las familiares estuvieron «muy de acuerdo» en recomendar el programa ACTIVA’T a otras personas, y el resto estuvo «bastante de acuerdo» en ello. Por tanto, el programa ACTIVA’T puede ser un plan de intervención efectivo, a pesar del antecedente expuesto por Ramos-Goñi y Valcárcel-Nazco 28, quienes de acuerdo con los resultados de su estudio concluyen que, para prevenir o corregir la obesidad infantil, las intervenciones de salud pública que podrían implantarse de manera eficiente a largo plazo son aquellas de bajo coste (máximo 5 € por niño/año) y cuyos resultados reduzcan en un 2% la prevalencia de la obesidad en la población no intervenida.
La inactividad física es el cuarto factor de riesgo de mortalidad más importante en todo el mundo. En la población infantil, las recomendaciones de actividad física se centran en acumular 60 minutos de actividad de intensidad moderada o vigorosa a lo largo del día. Sin embargo, en España, menos de la mitad (21-40%) de los/las niños/as y adolescentes españoles/as cumplen con las recomendaciones de actividad física. No obstante, hasta la fecha ha habido escasas aportaciones de intervención longitudinal combinada nutricional y de promoción de la actividad física.
¿Qué añade el estudio realizado a la literatura?El programa de educación nutricional y promoción de actividad física ACTIVA’T mejora la calidad de la dieta y revierte la prevalencia de sobrepeso y obesidad en la población infantil poco activa, confirmando apreciaciones anteriores en cuanto a que debe establecerse una estrategia de acción multifocal, incidiendo tanto en la dieta como en la actividad física, para obtener éxito en cualquier intervención.
Gonzalo Casino.
Declaración de transparenciaEl autor principal (garante responsable del manuscrito) afirma que este manuscrito es un reporte honesto, preciso y transparente del estudio que se remite a Gaceta Sanitaria, que no se han omitido aspectos importantes del estudio, y que las discrepancias del estudio según lo previsto (y, si son relevantes, registradas) se han explicado.
Contribuciones de autoríaEl diseño de la investigación y del presente trabajo se debe a J. Fernández-Blanco, M.M. Bibiloni y J.A. Tur. El trabajo de campo y la obtención de los resultados fueron coordinados por J. Fernández-Blanco y realizados por él mismo junto con N. Pujol-Plana, S. Surià Sonet, M.C. Pujol-Puyané, S. Mercadé Fuentes y L. Ojer Fernández de Soto. El análisis y la interpretación de los resultados, así como la organización del contenido y la redacción del manuscrito, fueron realizados por M.M. Bibiloni, J. Fernández-Blanco y J.A. Tur. Todas las personas firmantes han participado en la revisión crítica del artículo hasta alcanzar la versión final para su publicación, y todas las discrepancias han sido adecuadamente descritas y resueltas.
FinanciaciónInstituto de Salud Carlos III (Proyectos 11/01791, 14/00636, PI17/01827, Red Predimed-RETIC RD06/0045/1004 y CIBEROBN CB12/03/30038), EU-COST Action CA16112, Ayuda a Grupos Competitivos núm. 35/2011 (Gobierno de las Islas Baleares) UE-COST Action CA16112 y Fondos FEDER-UE. Los patrocinadores no han tenido ningún papel en el diseño del estudio, en la recolección, análisis o interpretación de los datos, en la redacción del manuscrito ni en la decisión de publicar los resultados.
Conflictos de interesesNinguno.
Se agradece su participación a las Escuelas Dr. Estalella i Graells, Sant Josep, Más i Perera y Sant Ramón, de Vilafranca; a Núria Martín-Galindo, Maria Mercè Fernández-Vallejo, Mariona Roca-Domingo y Juan Chamorro-Medina, por su participación desinteresada; y a Vicente Morales, Montserrat Rafecas y a María Jesús Megido por la difusión del programa.














